卡尔曼滤波模型及Matlab模型建立
目录
二、扩展卡尔曼滤波(EKF:Extended KAlman Filter)
一、卡尔曼滤波
卡尔曼滤波的目的:由于人的主观认识(数学模型的建立而产生的理论状态值)和测量(传感器等测量值)都不准确,引入卡尔曼滤波,综合两者的误差,得到最优的对于真实值的预测。
1.概念解析:
对于已知状态空间表达的线性系统,通过递归算法,基于对下一时刻状态估计误差与观测器的测量误差的数据融合,得到下一时刻状态的最优预测值。
其中,引入估计误差的协方差矩阵P表征状态变量之间的相关性;引入系统误差w和观测误差v表征在预测及测量过程中会存在偏差的实际情况。由于任何外部状态通常呈现正态分布,假设,
(即w服从以0为期望,Q为协方差矩阵的正态分布;v服从以0为期望,R为协方差矩阵的正态分布)。
状态方程中,表示第k时刻的状态量,
表示第k时刻的输入量,
表示k时刻的观测值,矩阵H为观测矩阵。
概念框图:
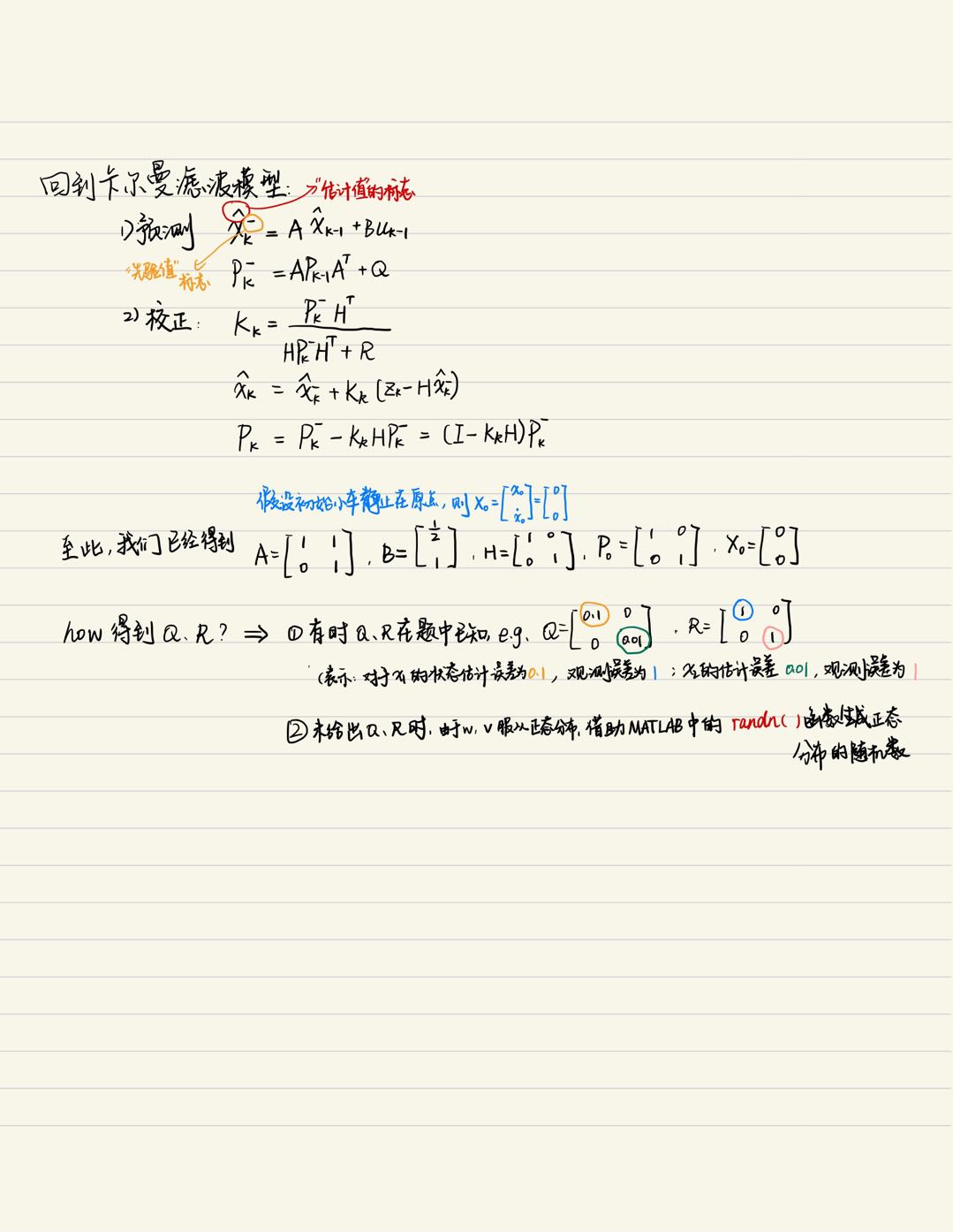
2.卡尔曼滤波的最优估计模型
1)预测:①先验
②先验误差协方差
2) 校正:①卡尔曼增益
②后验估计
③更新误差协方差
公式推导详见:(DR_CAN老师讲解的所有系列都超级推荐!!!)【卡尔曼滤波器】3_卡尔曼增益超详细数学推导 ~全网最完整_哔哩哔哩_bilibili
简单解释:①k时刻的先验估计为上一时刻的最优预测值;
②误差协方差矩阵P用来描述该时刻状态变量间的联系;Q为噪音矩阵,意思是变量间关系也受外界影响;

③R为观测矩阵,卡尔曼增益的大小取决于系统变量间的关系(协方差矩阵P)及观测器的性能(H、R)
④后验估计值对观测结果的依赖程度体现在,目的是让最优估计值的方差更小
⑤每一帧状态变量改变后,变量间的关系随之改变,故要时刻更新。
3.实例——小车匀加速直线运动


4.Matlab建模
假设模型参数:过程预测噪声的协方差矩阵,
观测噪声的协方差矩阵,状态方程中
,
,观测矩阵
初始状态:,
,
,则代码如下:
%%先对不同变量进行定义
%Q为过程预测噪声的协方差矩阵
%R为观测噪声协方差矩阵
%状态变量X=[p v],p为小车的位置,v为速度;输入u为加速度(=外力/质量)
%X为实际状态
%X_bar 为先验估计
%Xbar为后验估计,最优估计值
%P_为先验估计误差的协方差矩阵
%P为后验估计误差的协方差矩阵
%Z为观测量
%K为卡尔曼增益
%%定义超参数
over = 50;%指定循环的遍数,即预测50s内的运动
Q = [0.1 0;0 0.1];%假设的过程预测噪声的协方差矩阵(实际上是一个变量,很难得到)
R = [1 0;0 1];%假设的观测噪声协方差矩阵(实际上也是变量,但是可以得到)
%定义尺寸参数
T = [over,2];%定义over行2列(2维状态)的矩阵,用于记录所有时刻的预测状态
delta_t = 1;%时间间隔
%假设小车为匀加速运动,加速度为1
u = 1;
%建立预测模型
A = [1 delta_t;0 1];
B = [(delta_t^2)/2;delta_t];
H =[1 0;0 1];%假设观测值的观测矩阵
I = [1 0;0 1];%定义单位矩阵
%初始化参数,由于Kk、Pk为二维矩阵,故包含所有迭代数据的K、P均为2行T列矩阵
X = zeros(T);
X_bar = zeros(T);
Xbar = zeros(T);
Z = zeros(T);
K = zeros([2*over,2]);
P = zeros([2*over,2]);
P_ = zeros([2*over,2]);
%在t=0时刻的初始值
P(1:2,:)=[1 0; 0 1];%初始前两行协方差矩阵为[1 0;0 1],表示状态变量间相互独立
X(1,:) = [0 1];%实际状态初始值,即假设初始位置为0,初始速度为1
Xbar(1,:) = [0 1];%状态预测量的初始值;my error:①Xbar(1)表示矩阵的第一个元素②Xbar(1,:)可以表示第一行,注意是冒号:
%%卡尔曼滤波的核心算法
for n = 2:over
%计算X的实际值:X(k)=AX(k-1)+W
w1 = normrnd(0,sqrt(Q(1)),[1,1]);%w1是以0为均值,Q矩阵第一个元素的开方为标准差的服从正态分布的随机数
w2 = normrnd(0,sqrt(Q(4)),[1,1]);%w2是以0为均值,Q矩阵右下方元素的开方为标准差的服从正态分布的随机数
W = [w1 w2];%过程估计误差矩阵
Tmp1 = A*X(n-1,:)'+B*u+W';
X(n,:) = Tmp1';%在t=n时刻的状态实际值X(n)
%计算状态的观测值:Z(k)=HX(k)+V
v1 = normrnd(0,sqrt(R(1)),[1,1]);%v1是以0为均值,R矩阵左上角元素的开方为标准差的服从正态分布的随机数
v2 = normrnd(0,sqrt(R(4)),[1,1]);%v2是以0为均值,R矩阵右下方元素的开方为标准差的服从正态分布的随机数
V = [v1 v2];%观测误差矩阵
Tmp2 = H*X(n,:)'+V';
Z(n,:) = Tmp2';%在t=n时刻的状态观测值Z(n)
%先验预测:X_bar(k)=AXbar(k-1)+Bu(k-1)
Tmp3 = A*Xbar(n-1,:)'+B*u;%更新先验估计,k时刻的先验模型为上一时刻(k-1)的状态最优模型;注意计算时用X与u的转置,因为状态方程中状态x与输入u是列向量
X_bar(n,:) = Tmp3';
P_(((2*n-1):(2*n)),:) = A*P(((2*n-3):(2*n-2)),:) *A'+Q;%更新先验估计误差协方差:P_bar(k)=A*Pbar(k)*A'+Q
%后验校正
%卡尔曼增益
K(((2*n-1):(2*n)),:) = P_(((2*n-1):(2*n)),:)*H'/(H*(P_(((2*n-1):(2*n)),:)*H' + R));
%后验估计预测值:Xbar(k)=X_bar(k)+K(Z(k)-H*X_bar(k))
Tmp4 = X_bar(n,:)' + K(((2*n-1):(2*n)),:)*(Z(n,:)'-H*X_bar(n,:)');
Xbar(n,:) = Tmp4';
P(((2*n-1):(2*n)),:) = (I-K(((2*n-1):(2*n)),:)*H)*P_(((2*n-1):(2*n)),:);%协方差矩阵P(k)更新:P(k)=(I-KH)*P_bar(k)
end
%%绘图
figure
LineWidth = 2;
%分裂窗口为2*1个子窗口
%位置曲线图
subplot(2,1,1)
plot(Z(:,1),'k-')%画出测量值
hold on;
plot(Xbar(:,1),'b-')%画出最优估计值
hold on;
plot(X(:,1),'y-')%画出实际状态值
hold on;
title('位置状态曲线')
legend('位置测量值','位置最优估计值','实际位置')%同一图像中包含多条曲线时,依次加标注
%速度曲线图
subplot(2,1,2)
plot(Z(:,2),'k-')%画出测量值
hold on;
plot(Xbar(:,2),'b-')%画出最优估计值
hold on;
plot(X(:,2),'y-')%画出实际状态值
hold on;
title('速度状态曲线')
legend('速度测量值','速度最优估计值','实际速度')
运行的状态曲线为:
注:Q,R的数值不断调整,得到的估计效果不同
参数寻优:使最优估计值更好地拟合实际值。
二、扩展卡尔曼滤波(EKF:Extended KAlman Filter)
对于非线性系统,其状态空间不能表示为的形式,则上述卡尔曼滤波模型不成立,并且正态分布的随机变量经过非线性系统的处理后,不再满足正态分布(Q,R也应作相应改变)。
1.非线性系统的局部线性化
在操作点附近进行局部线性化(泰勒展开),得到非线性系统的最优预测模型——扩展卡尔曼滤波模型:
对于系统,f、h均为非线性函数:
由于系统存在估计和观测等误差,无法在真实点进行线性化,模型中选取f在(k-1)时刻的后验估计点处进行线性化:
其中,为估计误差为0时的预测点,即
;矩阵
均为雅克比矩阵做系数矩阵,且随k变化而时刻更新。
,
,
,
综上,得到的线性系统为:
其中,,
.
对做线性变换的
仍满足正态分布,即
,
。
2.扩展卡尔曼滤波模型
将线性化后的模型代入卡尔曼滤波模型,有:

(推荐大家观看b站up主:DR_CAN 的视频,并和我一起交流学习经验,欢迎批评指正!!)
AtomGit 是由开放原子开源基金会联合 CSDN 等生态伙伴共同推出的新一代开源与人工智能协作平台。平台坚持“开放、中立、公益”的理念,把代码托管、模型共享、数据集托管、智能体开发体验和算力服务整合在一起,为开发者提供从开发、训练到部署的一站式体验。
更多推荐



所有评论(0)