高数 | 工具及必备方法 | 【一元函数积分学】常用积分公式表
·
一、含有ax+b的积分

二、含有根号下ax+b的积分


三、含有x^2 ± a^2的积分

四、含有a*x^2+b的积分


五、含有a*x^2+bx+c的积分

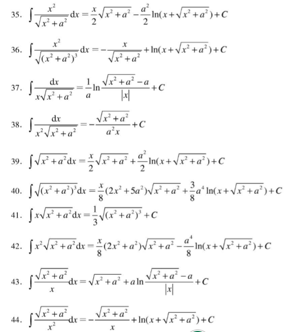
六、含有根号下x^2+a^2的积分


七、含有根号下x^2-a^2的积分


八、含有根号下a^2-x^2的积分


九、含有根号下±ax^2+bx+c的积分

十、含有(x-a)(b-x)的积分

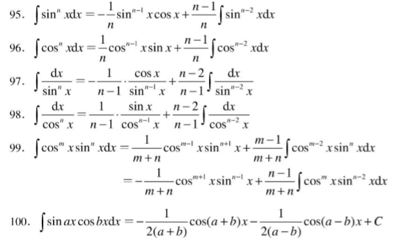
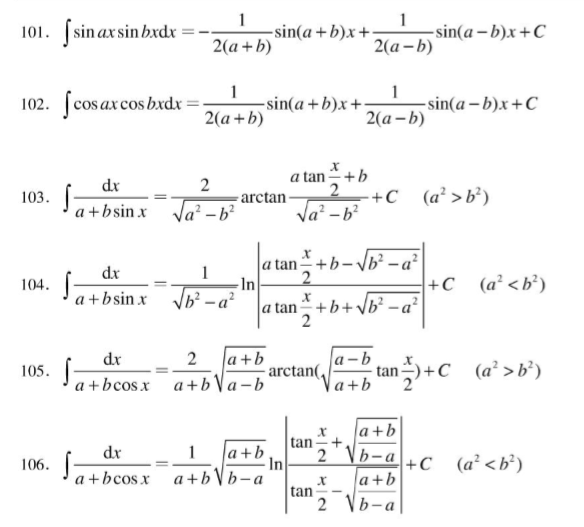
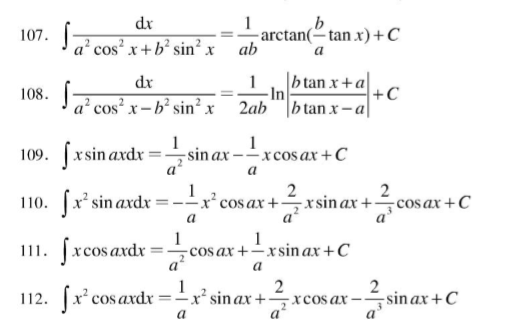
十一、 含有三角函数的积分




十二、含有反三角函数的积分


十三、含有指数函数的积分

新一代开源开发者平台 GitCode,通过集成代码托管服务、代码仓库以及可信赖的开源组件库,让开发者可以在云端进行代码托管和开发。旨在为数千万中国开发者提供一个无缝且高效的云端环境,以支持学习、使用和贡献开源项目。
更多推荐


所有评论(0)