前一章中,我们讨论了带有单个储能元件( 一个电容器或一个电感器)的电路,因为它
们是用一阶微分方程描述的,所以称为一阶电路。在这一章中,我们将考虑包含两个储能
元件的电路,称为二阶(second -order) 电路,因为它们的响应是由包含二阶导数的微分方
程描述的。

在这里插入图片描述

二阶微分方程

在这里插入图片描述

在这里插入图片描述

计算初值和终值

在这里插入图片描述

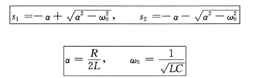
无源串联RLC 电路

在这里插入图片描述
在这里插入图片描述
在这里插入图片描述

在这里插入图片描述

在这里插入图片描述

在这里插入图片描述

在这里插入图片描述

在这里插入图片描述
在这里插入图片描述

无源并联RLC 电路

在这里插入图片描述

在这里插入图片描述

在这里插入图片描述
在这里插入图片描述

在这里插入图片描述

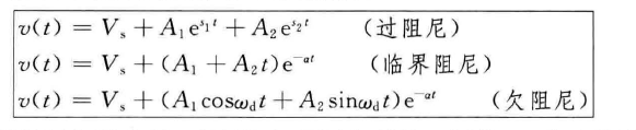
串联RLC 电路的阶跃响应

在这里插入图片描述

在这里插入图片描述
在这里插入图片描述
在这里插入图片描述
在这里插入图片描述
在这里插入图片描述

并联RLC 电路的阶跃响应

在这里插入图片描述

Logo

AtomGit 是由开放原子开源基金会联合 CSDN 等生态伙伴共同推出的新一代开源与人工智能协作平台。平台坚持“开放、中立、公益”的理念,把代码托管、模型共享、数据集托管、智能体开发体验和算力服务整合在一起,为开发者提供从开发、训练到部署的一站式体验。

更多推荐