FDTD中Drude材料模型的公式以及介电常数如何计算
写在前面,实际金属在宽波长范围内的介电常数很少能用Drude这种简化的模型描述。因此,Lumerical 软件采用业界公认的一些材料测量数据,例如Palik, CRC,Johnson and Christy 等工具书收集的结果。
Drude原理
由于存在大量活跃电子在金属中,所以利用自由电子气模型来描述金属内部活跃电子的运动规律是合理的,其运动方程表示为:


杜德Drude材料模型
Lumerical 知识库在介绍材料模型时,杜德Drude材料模型的表示式(lumerical官网的FDTD 和 MODE 中的标准光学介电常数材料模型,链接) 是:
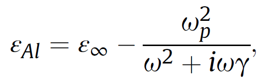
有的文献是这样:
这几种表示式的结果是不同的,因此仿真也不会相同,除非 ε 等于1。实际上,它应该是eps_infinite ,即静态数值。如果追溯该公式的来源,一般教科书或专著,例如玻恩的“光学原理”,均假定是自由电子模型,而且是一种近似。Lumerical 将静态和随频率改变的部分分开,很容易理解不同物理现象的贡献。这个 ε 就是我们软件中需要输入的就是Permittivity这个量。
看看官方的公式
Lumerical 知识库的杜德Drude材料模型表达式中,其他两个参数都是rad/s。请注意,公式第二项的所有参数都是圆频率的量纲,有的参考文献直接使用赫兹,很可能就是[赫兹 弧度],请斟酌使用。
如果希望重复文献的结果而文献又使用第二种表示,用户可以修改等离子体谐振频率,然后才能使用材料库中的杜德模型;或者利用文献的表示式得到介电常数的数据,用前面介绍的材料自输入方法(如何找到材料库中没有的材料折射率,并输入到软件中?)导入软件。
在推荐一个查材料折射率的网站:点这里
举个例子吧:

这里面的γ和νc是一样的,然后新建材料,默认permittivity=1,剩下两个参数输进去即可。
AtomGit 是由开放原子开源基金会联合 CSDN 等生态伙伴共同推出的新一代开源与人工智能协作平台。平台坚持“开放、中立、公益”的理念,把代码托管、模型共享、数据集托管、智能体开发体验和算力服务整合在一起,为开发者提供从开发、训练到部署的一站式体验。
更多推荐


所有评论(0)