C语言——猴子吃桃问题
·
一、问题描述
猴子吃桃问题:猴子第一天摘下若干个桃子,当即吃了一半,还不瘾,又多吃了一个 第二天早上又将剩下的桃子吃掉一半,又多吃了一个。以后每天早上都吃了前一天剩下 的一半零一个。到第10天早上想再吃时,见只剩下一个桃子了。求第一天共摘了多少。
二、解题思路
1.递归:
假设:第一天摘了n个,第二天剩:(n/2-1)个;第三天剩:(n/2-1)/2-1个......
第十天剩1个。

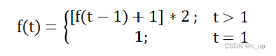
2.循环:
已知:第十天剩1个。那么第九天就剩:(1+1)*2,第八天就剩:【第九天+1】*2.....
从第十天推算至第一天,是一个循环过程。
三、c语言实现
1、递归
//递归
int f_num(int t)
{
if (t == 1)//最后一天剩一个桃
return 1;
else
return 2*(f_num(t - 1)+1);// 第一天:n 第二天:n/2-1 .....第十天:1
}
int main()
{
int t = 10;//10天
printf("%d\n",f_num(t));
return 0;
}
2.循环
int main()
{
int t =10;
int n = 1;//第一天桃子个数为1
for (int i = 1; i < t; i++)//第十天:1 第九天:(1+1)*2 第八天:(第九天+1)*2 ....
{
n = 2 * (n+1);
}
printf("%d\n", n);
return 0;
}
AtomGit 是由开放原子开源基金会联合 CSDN 等生态伙伴共同推出的新一代开源与人工智能协作平台。平台坚持“开放、中立、公益”的理念,把代码托管、模型共享、数据集托管、智能体开发体验和算力服务整合在一起,为开发者提供从开发、训练到部署的一站式体验。
更多推荐


所有评论(0)