图形学-变换(平移矩阵,旋转矩阵,缩放矩阵,线性变换,仿射变换,齐次坐标)
1.变换
1.1 什么是变换?
变换(Transform)是计算机图形学中非常重要的一部分。变换包含模型变换(Modeling transform)以及视图变换(View transform)。模型变换指的是变换模型(被拍摄物体)的位置,大小和角度;视图变换指的是变换照相机的位置和角度。从相对运动的角度来看,两种变换是可以相互转化的。
1.2 模型变换
1.2.1 二维变换
缩放变换(Scale)中,如果一个图片以原点 (0, 0) 为中心缩放 𝑠 倍。那么点 (𝑥, 𝑦 ) 变换后数学形式可以表示为
写成矩阵形式为:
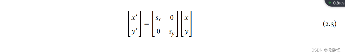
当然,我们也可以给 x 轴和 y 轴不同的缩放倍数 𝑠𝑥 和 𝑠𝑦。在非均匀情况下,缩放变换的矩阵形式为
反射变换(Reflection)指的是图片对着 x 轴或者 y 轴做对称变换。对于图片上的点 (𝑥, 𝑦 ) 在经过 x 轴
的对称反射变换后,数学形式可以表示为:
表示成矩阵形式为:
同理可以得到 y 轴对称反射变换后的变换矩阵为:
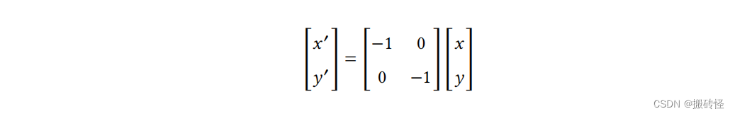
沿原点反射变换的变换矩阵为:
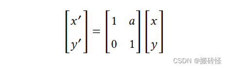
切变变换(Shear),指的是在物理学上指的是两个距离很近、大小相等、方向相反的平行力作用于同一物体上所引起的形变。使用示意图可以更直观的去表示什么是切变。如图2.2所示,是图片在 x 轴方向上发生了切变。从图中我们可以看出所有点在 y 轴上的坐标不变,在 x 轴上的坐标满足:𝑦 = 0 上的点,x 轴坐标不发生变化;𝑦 = 1 上的点水平方向上移动了 𝑎 个长度。因此对于任意一个点来说,水平方向上移动长度为𝑎𝑦。
切变的矩阵变换可以写作:
我们默认旋转变换(Rotate)都绕着原点 (0, 0) 旋转,并且默认旋转方向为逆时针方向(逆时针方向旋
转角度值为正,顺时针旋转角度值为负)。旋转变换的推导过程比较复杂(见后续推导过程)。结论如下:当一个点 (𝑥, 𝑦 ) 绕着原单 (0, 0) 旋转 𝜃 角时,变换矩阵可以表示为:

对于任何一种变换如果可以写作:
矩阵形式可以表示为:
那么我们认为这种变换是线性变换(Linear transformation)。
2. 齐次坐标
平移变换(Translation)相比于以上的线性变换有特殊的地方。平移变换的数学形式为:
这种数学表示不能写作线性变换的矩阵形式,只能记作:
说明平移操作不是线性变换。但是我们不希望把平移操作看作特殊变换,因此需要把这些变换统一起
来,就引入了齐次坐标。
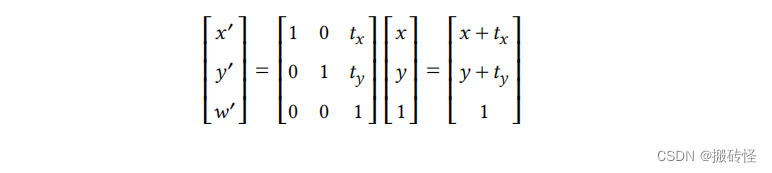
为了统一变换操作,我们引入一个新的维度。对于二维的点 (𝑥, 𝑦 ) 我们可以增加一个维度,对于 2 维的
点可以表示为 (𝑥, 𝑦, 1)𝑇,2 维向量的 (𝑥, 𝑦, 0)𝑇。因此,一个点的平移可以用矩阵表示为:

为什么点补充维度大小为 1,但是向量补充维度大小为 0?
对于向量来说,平移变换不应该使向量的结果发生变化。因此补充维度为 0 的时候可以屏蔽
平移带来的影响。
对于加入齐次坐标的点和向量满足:
- 向量 + 向量 = 向量
- 点-点 = 向量
- . 点 + 向量 = 点
- 点 + 点 = 两个点中点
对引入齐次坐标的点的扩充定义如下:
因此一个点加上另一个点的结果是两个点的中点。引入了扩充定义点和向量的加法是有意义的。
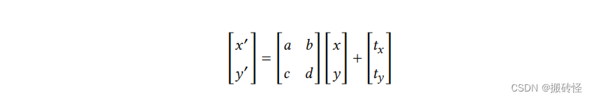
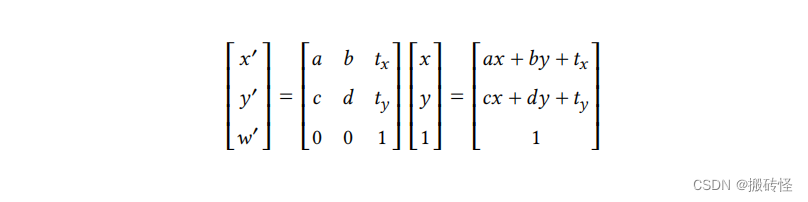
仿射变换(Affine)包含线性变换与平移变换。可以用矩阵表示为:
使用齐次坐标后可以写作:
任何变换的逆变换(Inverse transform)的变换矩阵 𝑀 的逆矩阵 𝑀−1 表示。
变换的组合
可以用矩阵的乘法进行变换的组合(Transform compose)。变换的先后顺序不同,变换的结果不同。矩
阵和向量的乘法是从右到左依次相乘,从右到左依次应用变化。如果我们要依次应用变化 𝐴1, 𝐴2, 𝐴3, ⋯,写成矩阵形式:

根据矩阵运算的结合律, 我们可以先把变换矩阵乘在一起,接下来把这个矩阵的乘积和向量相乘。可
以用一个矩阵表示一个复杂的变换。
变换的分解
所有的复杂变换都可以分解成多个普通的变换。为了使某个图像沿着某个点 𝑐 变换,我们可以分解为
以下步骤:
- 把中心点 𝑐 移动到原点
- 进行旋转;
- 把中心点(0,0)移动到原来的中心点
用变换矩阵表示为:
3. 三维变换
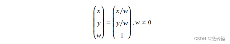
3 维变换可以类比于 2 维变换得到引入齐次坐标的点和向量,3 维的点可以表示为 (𝑥, 𝑦, 𝑧, 1)𝑇,3 维向量可以表示为 (𝑥, 𝑦, 𝑧, 0)𝑇。当 𝑤 ≠ 0 的时候:(𝑥, 𝑦, 𝑧, 𝑤 ) = (𝑥/𝑤, 𝑦/𝑤, 𝑧/𝑤, 1)
使用 4 × 4 的矩阵来表示仿射变换:
左上角表示是一个3✖3的线性变换
在仿射变换中的变换矩阵表示先线性变换在平移
- 3 维变换中缩放变换
3 维变换中缩放变换的变换矩阵:
- 维变换中的平移变换
三维变换中平移变换的变换矩阵:
3. 三维变换中的旋转变换
当空间内的物体绕着 x 轴,y 轴或者 z 轴旋转的时候,变换矩阵为:

对于一般性的旋转问题,可以用简单的旋转描述复杂的旋转。用 x 轴,y 轴和 z 轴上的旋转来定义旋转:

这三个角就被称作欧拉角(Euler angles)。
- 罗德里格斯旋转公式
绕着旋转轴 n 旋转角度 𝛼。默认旋转轴是过原点的,对于不过原点的条件可以将图形平移到过原点的
旋转轴上,旋转后再平移回去。罗德里格斯旋转公式(Rodrigues’ Rotation Formula)是:
AtomGit 是由开放原子开源基金会联合 CSDN 等生态伙伴共同推出的新一代开源与人工智能协作平台。平台坚持“开放、中立、公益”的理念,把代码托管、模型共享、数据集托管、智能体开发体验和算力服务整合在一起,为开发者提供从开发、训练到部署的一站式体验。
更多推荐


所有评论(0)