图的遍历 —— 广度优先遍历
与树的遍历类似,图的遍历指从图的某一节点出发,按照某种搜索方式对图中的所有节点都仅访问一次。图的遍历可以解决很多搜索问题,实际应用非常广泛。图的遍历根据搜索方式的不同,分为广度优先遍历和深度优先遍历。
图的遍历 —— 广度优先遍历
广度优先搜索(Breadth First Search,BFS)又被称为宽度优先搜索,是最常见的图搜索方法之一。
广度优先搜索指从某个节点(源点)出发,一次性访问所有未被访问的邻接点,再依次从这些已访问过的邻接点出发,一层一层地访问。如下图所示,广度优先遍历是按照广度优先搜索的方式对图进行遍历的。

假设源点为1,从1出发访问1的邻接点2、3,从2出发访问4,从3出发访问5,从4出发访问6,访问完毕。访问路径如下图所示。

广度优先遍历的秘籍:先被访问的节点,其邻接点先被访问。
根据广度优先遍历的秘籍,先来先服务,这可以借助于队列实现。
因为对每个节点只访问一次,所以可以设置一个辅助数组visited[i]=false,表示第i 个节点未被访问;visited[ i ]=true,表示第i 个节点已被访问。
【算法步骤】
① 初始化所有节点均未被访问,并初始化一个空队列。
② 从图中的某个节点v 出发,访问v 并标记其已被访问,将v入队。
③ 如果队列非空,则继续执行,否则算法结束。
④ 将队头元素v 出队,依次访问v 的所有未被访问的邻接点,标记已被访问并入队。转向步骤3。
【完美图解】
例如,一个有向图如下图所示

广度优先遍历:
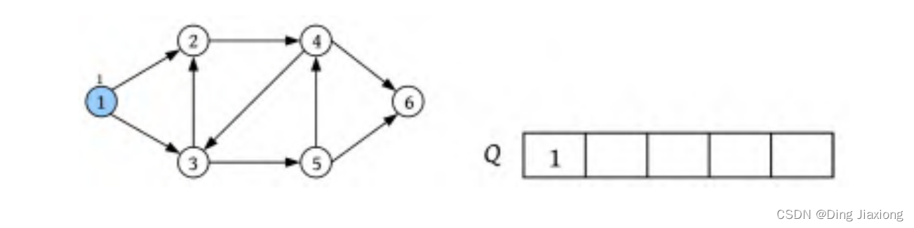
① 初始化所有节点均未被访问,visited[i ]=false,i =1,2,…,6。并初始化一个空队列Q 。
② 从节点1出发,标记其已被访问,visited[1]=true,将节点1入队。

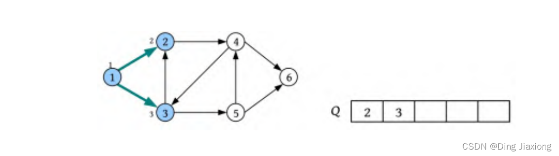
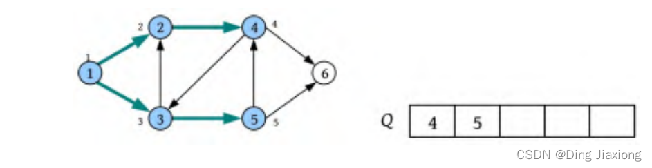
③ 将队头元素1出队,依次访问1的所有未被访问的邻接点2、3,标记其已被访问并将其入队。

④ 将队头元素2出队,将2的未被访问的邻接点4标记为已被访问,并将其入队。

⑤ 将队头元素3出队,3的邻接点2已被访问,将未被访问的邻接点5标记为已被访问,并将其入队。

⑥ 将队头元素4出队,4的邻接点3已被访问,将未被访问的邻接点6标记为已被访问,并将其入队。

⑦ 将队头元素5出队,5的邻接点4、6均已被访问,没有未被访问的邻接点。
⑧ 将队头元素6出队,6没有邻接点。
⑨ 队列为空,算法结束。广度优先遍历序列为1 2 3 4 5 6。
广度优先遍历经过的节点及边,被称为广度优先生成树。如果广度优先遍历非连通图,则每一个连通分量都会产生一棵广度优先生成树。

【算法实现】
① 基于邻接矩阵的广度优先遍历。
void BFS_AM(AMGragh G , int v){ //基于邻接矩阵的广度优先遍历
int u , w;
queue<int>Q; //创建一个普通队列(先进先出)存放int 类型
cout << G.Vex[v] << "\t";
visited[v] = true;
Q.push(v); //将源点v 入队
while(!Q.empty()){ //如果队列不为空
u = Q.front(); //则取出队头元素并赋值给u
Q.pop(); //将队头元素出队
for(w = 0 ; w < G.vexnum ; w++){ //依次检查u 的所有邻接点
if(G.Edge[u][w] && !visited[w]){ //u、w邻接并且w 未被访问
cout << G.Vex[w] << "\t";
visited[w] = true;
Q.push(w);
}
}
}
}
② 基于邻接表的广度优先遍历
void BFS_AL(ALGragh G , int v){ //基于邻接表的广度优先遍历
int u , w;
AdjNode *p;
queue<int>Q; //创建一个普通队列(先进先出)存放int 类型
cout << G.Vex[v].data = "\t";
visited[v] = true;
Q.push(v); //将源点v 入队
while(!Q.empty()){ //如果队列不空
u = Q.front(); //则取出队头元素赋值给u
Q.pop(); //将队头元素出队
p = G.Vex[u].first;
while(p){ //依次检查 u 的所有邻接点
w = p->v; //w 为 u 的邻接点
if(!visited[w]){ //w 未被访问
cout << G.Vex[w].data << "\t";
visited[w] = true;
Q.push(w);
}
p = p->next;
}
}
}
③ 基于非连通图的广度优先遍历
void BFS_AL(ALGragh G){ //非连通图的广度优先遍历
for(int i = 0 ; i < G.vexnum; i ++){ //对非连通图需要查漏点,检查未被访问的节点
if(!visited[i]){ //i 未被访问,以i 为起点再次广度优先遍历
BFS_AL(G , i); //基于邻接表,也可以替换为基于邻接矩阵的BFS_AM(G , i)
}
}
}
【算法分析】
广度优先遍历的过程实质上是对每个节点都搜索其邻接点的过程,图的存储方式不同,其算法复杂度也不同。
① 基于邻接矩阵的广度优先遍历算法。
查找每个节点的邻接点需要O (n )时间,共n 个节点,总的时间复杂度为O (n^2 )。这里使用了一个辅助队列,每个节点只入队一次,空间复杂度为O (n )。
② 基于邻接表的广度优先遍历算法。
查找节点vi 的邻接点需要O (d (vi ))时间,d (vi )为vi 的出度,对有向图而言,所有节点的出度之和等于边数e ;对无向图而言,所有节点的度之和等于2e ,因此查找邻接点的时间复杂度为O (e ),加上初始化时间O (n ),总的时间复杂度为O (n +e )。这里使用了一个辅助队列,每个节点只入队一次,空间复杂度为O (n )。
更多推荐

所有评论(0)