Java线程与内核线程
整理自:
https://my.oschina.net/u/1859679/blog/1517807
http://gityuan.com/2016/09/24/android-thread/
线程的实现
线程是比进程更轻量级的调度执行单位,在linux里面,线程和进程没有什么区别,唯一的就是在地址空间,线程的切换虚拟内存空间依然是相同的,但是进程切换是不同的。
目前主流的操作系统都提供的线程实现,java则提供的线程实现方法都是native的,因为不同的硬件和操作系统提供线程调度方式并不尽相同,所以java没用采用和平台无关的统一手段来实现。
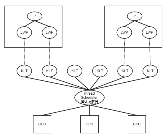
实现线程的主要3种方式:使用内核线程实现,使用用户线程实现,使用用户线程加轻量级进程混合实现。
内核线程实现
内核线程(KLT)就是直接由操作系统内核支持的线程,这种线程由内核来完成线程切换。
程序一般不会直接使用内核线程,而是去使用内核线程的一种高级接口—轻量级进程(LWP),轻量级进程就是我们所讲的线程,这种轻量级进程与内核线程之间1:1的对应关系。

优点:
内核直接支持,由操作系统内核创建和撤销。内核维护进程及线程的上下文信息以及线程切换。一个内核线程由于I/O操作而阻塞,不会影响其它线程的运行。
缺点:
1、线程的操作、创建、同步等都需要系统调用,而系统调用代价比较高,需要在用户态和内核态中来回切换。
2、每个轻量级的进程都需要一个内核线程来支持,需要消耗一定的内核资源。
用户线程实现
用户线程指不需要内核支持而在用户程序中实现的线程,其不依赖于操作系统核心,应用进程利用线程库提供创建、同步、调度和管理线程的函数来控制用户线程。
不需要用户态/核心态切换,速度快,操作系统内核不知道多线程的存在,因此一个线程阻塞将使得整个进程(包括它的所有线程)阻塞。使用用户线程实现的程序一般都比较复杂,java曾经用过,不过最后还是放弃了。
优点:
切换由用户态程序自己控制内核切换,不需要内核干涉,少了进出内核态的消耗。
缺点:
多核处理器很难讲线程映射到其他处理器上,单线程阻塞会造成该进程阻塞。
用户线程加轻量级进程混合实现
这种混合模式下,既存在用户线程,也存在轻量级进程。用户线程还是完全建立在用户空间中,因此用户线程的创建、切换、析构等依然廉价,可以支持大规模的用户线程并发。
操作系统提供支持的轻量进程作为用户线程和内核线程之间的桥梁,用户线程的系统调用要通过轻量级线程来完成,大大降低了进程阻塞的风险。用户线程和轻量级进程比是N:M多对对的关系。

java在jdk 1.2之前基于用户线程实现,在1.2之后,基于操作系统的原生线程模型来实现,在每个平台上都不尽相同,比如在windows和linux下都是采用一对一的线程模型实现,在Solaris平台,采用都是一对一或者多对多来实现(solaris 同时支持一对一和多对多)。
基于Android 6.0源码剖析,分析Android线程的创建过程
/android/libcore/libart/src/main/java/java/lang/Thread.java
/art/runtime/native/java_lang_Thread.cc
/art/runtime/native/java_lang_Object.cc
/art/runtime/thread.cc
/system/core/libutils/Threads.cpp
/system/core/include/utils/AndroidThreads.h
/frameworks/base/core/jni/AndroidRuntime.cpp
一.概述
Android线程,一般地就是指Android虚拟机线程,而虚拟机线程由是通过系统调用而创建的Linux线程。纯粹的Linux线程与虚拟机线程的区别在于虚拟机线程具有运行Java代码的runtime. 除了虚拟机线程,还有Native线程,对于Native线程有分为是否具有访问Java代码的两类线程。接下来,本文分析介绍这3类线程的创建过程。
二. Java线程
2.1 Thread.start
[-> Thread.java]
public synchronized void start() {
checkNotStarted(); //保证线程只有启动一次
hasBeenStarted = true;
//[见流程2.2]
nativeCreate(this, stackSize, daemon);
}
nativeCreate()这是一个native方法,那么其所对应的JNI方法在哪呢?在java_lang_Thread.cc中通过gMethods是一个JNINativeMethod数组,其中一项为:
NATIVE_METHOD(Thread, nativeCreate, "(Ljava/lang/Thread;JZ)V"),
这里的NATIVE_METHOD定义在java_lang_Object.cc文件,如下:
#define NATIVE_METHOD(className, functionName, signature) \
{ #functionName, signature, reinterpret_cast<void*>(className ## _ ## functionName) }
将宏定义展开并代入,可得所对应的方法名为Thread_nativeCreate,那么接下来进入该方法。
2.2 Thread_nativeCreate
[-> java_lang_Thread.cc]
static void Thread_nativeCreate(JNIEnv* env, jclass, jobject java_thread,
jlong stack_size, jboolean daemon) {
//【见小节2.3】
Thread::CreateNativeThread(env, java_thread, stack_size, daemon == JNI_TRUE);
}
2.3 CreateNativeThread
[-> thread.cc]
void Thread::CreateNativeThread(JNIEnv* env, jobject java_peer, size_t stack_size, bool is_daemon) {
Thread* self = static_cast<JNIEnvExt*>(env)->self;
Runtime* runtime = Runtime::Current();
...
Thread* child_thread = new Thread(is_daemon);
child_thread->tlsPtr_.jpeer = env->NewGlobalRef(java_peer);
stack_size = FixStackSize(stack_size);
env->SetLongField(java_peer, WellKnownClasses::java_lang_Thread_nativePeer,
reinterpret_cast<jlong>(child_thread));
std::unique_ptr<JNIEnvExt> child_jni_env_ext(
JNIEnvExt::Create(child_thread, Runtime::Current()->GetJavaVM()));
int pthread_create_result = 0;
if (child_jni_env_ext.get() != nullptr) {
pthread_t new_pthread;
pthread_attr_t attr;
child_thread->tlsPtr_.tmp_jni_env = child_jni_env_ext.get();
//创建线程【见小节2.4】
pthread_create_result = pthread_create(&new_pthread,
&attr, Thread::CreateCallback, child_thread);
if (pthread_create_result == 0) {
child_jni_env_ext.release();
return;
}
}
...
}
2.4 pthread_create
pthread_create是pthread库中的函数,通过syscall再调用到clone来请求内核创建线程。
- 原型:int pthread_create((pthread_t thread, pthread_attr_t *attr, void (start_routine)(void ), void *arg)
- 头文件:#include
- 输入参数:thread:线程标识符; attr:线程属性设置; start_routine:线程函数的起始地址; arg:传递给start_routine的参数;
- 返回值:成功则返回0;出错则返回-1。
- 功能:创建线程,并调用线程起始地址所指向的函数start_routine。
关于pthread_create的分析,在后续Linux系列文章会再进一步深入分析。
三. Native线程(C/C++)
3.1 Thread.run
[-> Threads.cpp]
status_t Thread::run(const char* name, int32_t priority, size_t stack)
{
Mutex::Autolock _l(mLock);
//保证只会启动一次
if (mRunning) {
return INVALID_OPERATION;
}
...
mRunning = true;
bool res;
if (mCanCallJava) {
//还能调用Java代码的Native线程【见小节4.1】
res = createThreadEtc(_threadLoop,
this, name, priority, stack, &mThread);
} else {
//只能调用C/C++代码的Native线程【见小节3.2】
res = androidCreateRawThreadEtc(_threadLoop,
this, name, priority, stack, &mThread);
}
if (res == false) {
...//清理
return UNKNOWN_ERROR;
}
return NO_ERROR;
}
mCanCallJava在Thread对象创建时,在构造函数中默认设置mCanCallJava=true.
- 当mCanCallJava=true,则代表创建的是不仅能调用C/C++代码,还能能调用Java代码的Native线程
- 当mCanCallJava=false,则代表创建的是只能调用C/C++代码的Native线程。
3.2 androidCreateRawThreadEtc
[-> Threads.cpp]
int androidCreateRawThreadEtc(android_thread_func_t entryFunction,
void *userData,
const char* threadName __android_unused,
int32_t threadPriority,
size_t threadStackSize,
android_thread_id_t *threadId)
{
pthread_attr_t attr;
pthread_attr_init(&attr);
pthread_attr_setdetachstate(&attr, PTHREAD_CREATE_DETACHED);
if (threadPriority != PRIORITY_DEFAULT || threadName != NULL) {
thread_data_t* t = new thread_data_t;
t->priority = threadPriority;
t->threadName = threadName ? strdup(threadName) : NULL;
t->entryFunction = entryFunction;
t->userData = userData;
entryFunction = (android_thread_func_t)&thread_data_t::trampoline;
userData = t;
}
if (threadStackSize) {
pthread_attr_setstacksize(&attr, threadStackSize);
}
errno = 0;
pthread_t thread;
//通过pthread_create创建线程
int result = pthread_create(&thread, &attr,
(android_pthread_entry)entryFunction, userData);
pthread_attr_destroy(&attr);
if (result != 0) {
... //创建失败,则返回
return 0;
}
if (threadId != NULL) {
*threadId = (android_thread_id_t)thread;
}
return 1;
}
此处entryFunction所指向的是由[小节3.1]传递进来的,其值为_threadLoop。
3.3 _threadLoop
[-> Threads.cpp]
int Thread::_threadLoop(void* user)
{
//user是指Thread对象
Thread* const self = static_cast<Thread*>(user);
sp<Thread> strong(self->mHoldSelf);
wp<Thread> weak(strong);
self->mHoldSelf.clear();
//该参数对于gdb调试很有作用
self->mTid = gettid();
bool first = true;
do {
bool result;
if (first) {
first = false;
//首次运行时会调用readyToRun()做一些初始化准备工作
self->mStatus = self->readyToRun();
result = (self->mStatus == NO_ERROR);
if (result && !self->exitPending()) {
//
result = self->threadLoop();
}
} else {
result = self->threadLoop();
}
{
Mutex::Autolock _l(self->mLock);
if (result == false || self->mExitPending) {
self->mExitPending = true;
self->mRunning = false;
self->mThread = thread_id_t(-1);
self->mThreadExitedCondition.broadcast();
break;
}
}
strong.clear(); //释放强引用
strong = weak.promote(); //重新请求强引用,用于下一次的循环
} while(strong != 0);
return 0;
}
不断循环地调用成员方法threadLoop()。当满足以下任一条件,则该线程将退出循环:
- 当前线程状态存在错误,即mStatus != NO_ERROR;
- 当前线程即将退出, 即mExitPending = true; 调用Thread::requestExit()可触发该过程。
- 当前线程的强引用释放后,无法将弱引用提升成强引用的情况。
对于Native线程的实现方法,往往是通过继承Thread对象,通过覆写父类的readyToRun()和threadLoop()完成自定义线程的功能。
四. Native线程(Java)
4.1 createThreadEtc
[-> AndroidThreads.h]
inline bool createThreadEtc(thread_func_t entryFunction,
void *userData,
const char* threadName = "android:unnamed_thread",
int32_t threadPriority = PRIORITY_DEFAULT,
size_t threadStackSize = 0,
thread_id_t *threadId = 0)
{
//【见小节4.2】
return androidCreateThreadEtc(entryFunction, userData, threadName,
threadPriority, threadStackSize, threadId) ? true : false;
}
4.2 androidCreateThreadEtc
[-> Threads.cpp]
int androidCreateThreadEtc(android_thread_func_t entryFunction,
void *userData,
const char* threadName,
int32_t threadPriority,
size_t threadStackSize,
android_thread_id_t *threadId)
{
//【见小节4.3】
return gCreateThreadFn(entryFunction, userData, threadName,
threadPriority, threadStackSize, threadId);
}
此处gCreateThreadFn默认指向androidCreateRawThreadEtc函数。 文章Android系统启动-zygote篇的小节[3.3.1]已介绍 通过androidSetCreateThreadFunc()方法,gCreateThreadFn指向javaCreateThreadEtc函数。
4.3 javaCreateThreadEtc
[-> AndroidRuntime.cpp]
int AndroidRuntime::javaCreateThreadEtc(
android_thread_func_t entryFunction,
void* userData,
const char* threadName,
int32_t threadPriority,
size_t threadStackSize,
android_thread_id_t* threadId)
{
void** args = (void**) malloc(3 * sizeof(void*));
int result;
if (!threadName)
threadName = "unnamed thread";
args[0] = (void*) entryFunction;
args[1] = userData;
args[2] = (void*) strdup(threadName);
//【见小节4.4】
result = androidCreateRawThreadEtc(AndroidRuntime::javaThreadShell, args,
threadName, threadPriority, threadStackSize, threadId);
return result;
}
4.4 androidCreateRawThreadEtc
[-> Threads.cpp]
int androidCreateRawThreadEtc(android_thread_func_t entryFunction,
void *userData,
const char* threadName __android_unused,
int32_t threadPriority,
size_t threadStackSize,
android_thread_id_t *threadId)
{
...
if (threadStackSize) {
pthread_attr_setstacksize(&attr, threadStackSize);
}
...
//通过pthread_create创建线程
int result = pthread_create(&thread, &attr,
(android_pthread_entry)entryFunction, userData);
pthread_attr_destroy(&attr);
...
return 1;
}
此处entryFunction所指向的是由[小节4.3]传递进来的AndroidRuntime::javaThreadShell,接下来,进入该方法。
4.5 javaThreadShell
[-> AndroidRuntime.cpp]
int AndroidRuntime::javaThreadShell(void* args) {
void* start = ((void**)args)[0]; //指向_threadLoop
void* userData = ((void **)args)[1]; //线程对象
char* name = (char*) ((void **)args)[2]; //线程名
free(args);
JNIEnv* env;
int result;
//hook虚拟机【见小节4.5.1】
if (javaAttachThread(name, &env) != JNI_OK)
return -1;
// 调用_threadLoop()方法见小节4.5.2】
result = (*(android_thread_func_t)start)(userData);
//unhook虚拟机见小节4.5.3】
javaDetachThread();
free(name);
return result;
}
该方法主要功能:
- 调用javaAttachThread():将当前线程hook到当前进程所在的虚拟机,从而既能执行C/C++代码,也能执行Java代码。
- 调用_threadLoop():执行当前线程的核心逻辑代码;
- 调用javaDetachThread():到此说明线程_threadLoop方法执行完成,则从当前进程的虚拟机中移除该线程。
4.5.1 javaAttachThread
[-> AndroidRuntime.cpp]
static int javaAttachThread(const char* threadName, JNIEnv** pEnv)
{
JavaVMAttachArgs args;
JavaVM* vm;
jint result;
vm = AndroidRuntime::getJavaVM();
args.version = JNI_VERSION_1_4;
args.name = (char*) threadName;
args.group = NULL;
// 将当前线程hook到当前进程所在的虚拟机
result = vm->AttachCurrentThread(pEnv, (void*) &args);
return result;
}
4.5.2 _threadLoop
[-> Threads.cpp]
int Thread::_threadLoop(void* user)
{
...
do {
if (first) {
...
self->mStatus = self->readyToRun();
result = (self->mStatus == NO_ERROR);
if (result && !self->exitPending()) {
result = self->threadLoop();
}
} else {
result = self->threadLoop();
}
Mutex::Autolock _l(self->mLock);
//当result=false则退出该线程
if (result == false || self->mExitPending) {
self->mExitPending = true;
self->mRunning = false;
self->mThread = thread_id_t(-1);
self->mThreadExitedCondition.broadcast();
break;
}
}
//释放强引用,让线程有机会退出
strong.clear();
//再次获取强引用,用于下一轮循环
strong = weak.promote();
} while(strong != 0);
return 0;
}
该过程与【小节3.3】完全一致,见上文。
4.5.3 javaDetachThread
[-> AndroidRuntime.cpp]
static int javaDetachThread(void)
{
JavaVM* vm;
jint result;
vm = AndroidRuntime::getJavaVM();
//当前进程的虚拟机中移除该线程
result = vm->DetachCurrentThread();
return result;
}
在创建Native进程的整个过程,涉及到JavaVM的AttachCurrentThread和DetachCurrentThread方法,都已深入虚拟机内部原理,本文就先讲到这里,不再深入,后续有精力再深入研究虚拟机,准备写一系列相关文章。
五. 总结
本文介绍了3类线程的创建过程,它们都有一个共同的特点,那就是真正的线程创建过程都是通过调用pthread_create方法(见小节[2.3],[3.2],[4.4]),该方法经过层层调用,最终都会进入clone系统调用,这是linux创建线程或进程的通用接口。
Native线程中是否可以执行Java代码的区别,在于通过javaThreadShell()方法从而实现在_threadLoop()执行前后增加分别将当前线程增加hook到虚拟机和从虚拟机移除的功能。调用过程:

- Native线程(Java版):该过程相对比较复杂,见如上流程图:
- Native线程: 相对简单,只有上图中的紫色部分:thread.run -> androidCreateRawThreadEtc -> _threadLoop
- Java线程: Thread.start -> Thread_nativeCreate -> CreateNativeThread
AtomGit 是由开放原子开源基金会联合 CSDN 等生态伙伴共同推出的新一代开源与人工智能协作平台。平台坚持“开放、中立、公益”的理念,把代码托管、模型共享、数据集托管、智能体开发体验和算力服务整合在一起,为开发者提供从开发、训练到部署的一站式体验。
更多推荐


所有评论(0)