数字图像处理课后习题汇总
文章目录
- 绪论
- 第一章
- 第二章
- 第三章
- 数字图像灰度化
- 第四章
- 第五章
- 数字图像的算术运算
- 数字图像几何变换
- 第六章
-
- Chapter 6 Enhance 1 Point 3 Linear
- Chapter 6 Enhance 1 Point 2 nonlinear
- Chapter 6 Enhance 2 Histogram 1 What
- Chapter 6 Enhance 2 Histogram 7 progress
- Chapter 6 Enhance 3 Neighbor 1 Neighbor-5 Smooth
- Chapter 6 Enhance 3 Neighbor 6 Smooth extreme
- Chapter 6 Enhance 4 Neighbor Sharpen 5 Laplacian-1
- Chapter 6 Enhance 4 Neighbor Sharpen 1 Gradient-4
- Chapter 6 Enhance 5 Frequency 1 Continuous Fourier-3 Cosin
- Chapter 6 Enhance 5 Frequency 4 Continuous Wavelet-6
- Chapter 6 Enhance 5 Frequency 7 Smooth lowpass-8 Smooth
- Chapter 6 Enhance Frequency 9 Sharpen
- 数字图像点处理
- 第七章
-
- Chapter 7 Degrade 1 Noise 1 Model 2 Type
- Chapter 7 Degrade 2 Blur 1 Source 3 Position
- Chapter 8 Restore 1 Denoise 1 Spatial Mean filter 2
- Chapter 8 Restore 1 Denoise 3 Frequency
- Chapter 8 Restore 2 Deblur 1 filter 2 singalnoise
- Chapter 8 Restore 1 Denoise 1 Spatial Mean filter 2
- Chapter 8 Restore 1 Denoise 3 Frequency
- Chapter 8 Restore 2 Deblur 1 filter 2 singalnoise
绪论
Chapter 0 Course 1 What
- 数字图像处理(广义)输出可以包括:
A. 数字图像
B. 关键点
C. 三维模型
D. UVW
答案:ABCD
- 数字图像可以用来表示:
A. 文字
B. 图形
C. 人脸
D. 器物
答案:ABCD
- 可以用于数字图像处理(广义):
A. 生成式对抗网络
B. 深度卷积神经网络
C. 代数运算
D. 几何变换
答案:ABCD
- 数字化媒体的技术包括
A. 编辑
B. 合成
C. 视觉效果
D. 游戏
答案:ABC
- 数字化媒体包括
图像、音频、视频、墨水 - 处理技术是数字媒体技术之一
正确
- 数字图像处理是计算机视觉有关
正确
- 计算机图形与数字图像是不能相互转换的
错误
- 人工智能不包括数字图像相关的智能处理
错误
- 计算机动画与数字图像无关
错误
- 数字图像是数字化媒体的一种
正确
- 同数字视频相比,数字图像是静态的
正确
- 计算机视觉与视觉效果无关
错误
Chapter 0 Cours 2
- 数字图像处理(广义)输出包括
A.美化数字图像
B. 风格化数字图像
C. 人体关节点
D. 三维模型(表面、UVW)
答案:ABCD
Chapter 0 Course 3
- 数字图像处理的计算机编程语言包括
A. C
B. Java
C. Matlab
D. Python
答案:ABCD
- 数字图像所包括类型
A. 彩色
B. 二值
C. 灰度
D. 三维
答案:ABCD
- 数字图像处理的集成软件开发环境包括
A. Visual Studio 2019
B. Java
C. MATLAB R2019a
D. Adobe Photoshop CC 2019
答案:AC
- 编程语言与软件开发平台是相同的
错误
- 举例说明数字图像处理的实际应用,至少三个
对山水、人物等数字图像生成各种艺术效果,例如油画、水彩、卡通等。
对文本数字图像进行文本的分割和识别。
对人脸数字图像进行五官分布修改、肤色和纹理的强化和弱化。
对汉字书法数字图像进行笔画提取和动态绘制。
对数字图像进行三维对象的贴图
- 数字图像处理教材包括哪些类型,并简单说明
从内容可以分为基础、编程、对象、专题、应用等。
基础类教材是指共性的、通用的。
编程类教材是指采用不同编程语言,包括C、Matlab、Java、Python等。
编程类教材是指处理不同图像对象,包括三维、彩色、二值、显微、遥感等。
专题类教材是指图像的不同处理任务,包括融合、复原、分析、识别等。
- 有关数字图像处理应用,给出你最期望的功能
三维重建、人物与背景分割
- 数字图像处理对输入能够
A. 改变图像中对象的颜色
B. 改变图像中对象的形状
C. 提取信息
D. 生成新的图形
答案:ABCD
第一章
Chapter 1 Introduction 1 History
- 数字图像对应的数据结构是
A. 一维数组
B. 二维数组
C. 三维数组
D. 四维数组
答案:B
- 数字图像形状是
A. 圆形
B. 椭圆形
C. 多边形
D. 矩形
答案:D
- 数字图像处理相关的软件、平台包括
A. 制作软件 Photoshop
B. 开发软件 MATLAB
C. 编程软件 Visual Studio
D. 开发平台 OpenCV
答案:ABCD
- 数字图像处理能够提供其中对象的信息包括
A. 区域
B. 边缘
C. 关键点
D. 文字描述
答案:ABCD
- 数字图像工程包括
A. 处理
B. 分析
C. 理解
D. 识别
答案:ABC
- 场景中一个对象的成像要素包括
A. 对象
B. 光照
C. 相机
D. 真空
答案:ABC
- 可以用于获取图像的电子器件包括
A. 电耦合器件 CCD、Charge Coupled Device
B. 互补金属氧化物半导体 CMOS、Complementary Mental-Oxide-Semiconductor Transistor
C. X 光
D. 可见光
答案:AB
数学形态学可以用于提取数字图像的几何结构- 数字图像中像素包含
坐标值和颜色值两种信息 - 数字图像是
像素的矩阵
Chapter 1 Introduction 2 Function
- Adobe Photoshop CC 2019中数字图像处理与内容感知相关的包括
A. 缩放
B. 删除
C. 平移
D. 人脸组成编辑
答案:ABCD
- 数字图像处理的研究目的包括
A. 增强(美化、风格化)
B. 复原
C. 合成(代数运算、分割)
D. 三维重建
答案:ABCD
- 数字图像处理研究内容包括
A. 退化
B. 压缩
C. 增强
D. 复原
答案:ABCD
- 狭义数字图像处理包括
A. 增强
B. 复原
C. 识别
D. 三维重建
答案:AB
- 数字图像处理的研究方法包括
A. 代数运算
B. 几何变换
C. 领域运算
D. 小波变换
答案:ABCD
- 数字图像处理包含哪三个层次?各自的任务是什么?
数字图像处理包含低级、中级和高级三个层次,也可以分别说是处理、分析和理解。
低级数字图像处理包括代数运算、几何操作、对比度调整、平滑、锐化、退化、复原等,是实现从数字图像到数字图像的基本处理任务。
中级数字图像处理是指从像素矩阵中进行对象的提取、描述和分类,属于语法层面任务处理。
高级数字图像处理是指根据获得的对象及其之间关系进行整体上的判断、分析和理解,属于语义层面任务处理。
- 简单论述数字图像处理在生活中的应用
基于人物照片美化、绘画风格化,用于生活娱乐。
基于图像合成,用于生活中服饰展示等。
基于人脸识别,用于生活中交通、支付、身份等
- 简单论述数字图像处理在数字媒体行业中的应用
基于图像进行人脸、人体、物品等的三维建模,用于动画、游戏行业中的模型。
基于图像生成人脸表情序列图像,用于直接生成人脸表情动画。
基于图像进行绘画风格转换,用于海报、插画等。
- Microsoft Visual Studio 2015中CImage支持的文件格式有()。
A. JPEG
B. PDF
C. BMP
D. PNG
答案:ACD
- Adobe Photoshop CC 2020、MatlabR2020a、Visual C++ 2019在数字图像处理中的区别和联系。
区别
(1)输入的对象不同:Adobe Photoshop CC 2020可以直接处理数字图像,而Matlab R2020a、Visual C++2019则需要先开发软件。
(2)用户不同:Adobe Photoshop CC 2020主要面向软件操作、应用人员,而Matlab R2020a、Visual C++2019则面向的是软件开发人员。
(3)开发层次不同:Adobe Photoshop CC 2020、Matlab R2020a、Visual C++2019对软件开发上的要求逐步提高,Adobe Photoshop CC 2019可以进行脚本和插件开发,Matlab R2020a进行基于 image processing toolbox的开发,Visual C++2019则是完全自主的开发。
联系
(1)都服务于数字图像处理。
(2)都可进行软件开发。
- 在一个MFC应用程序中,采用Doc\View框架来打开数字图像,主要步骤包括哪些?
(1)建立MFC类型的应用程序,选择具有滚动条的用户视图类。
(2)在用户文档对象中,声明数字图像对象。
(3)在用户文档对象中,重载文件打开函数,读取数字图像文件数据。
(4)在用户视图对象中,在初始化函数中,根据数字图像的宽度和高度设置显示窗口的宽度和高度。
(5)在用户视图对象中,在绘制函数中,显示数字图像。
第二章
Chapter 2 digitization 1 device
- 适用于孕妇胎儿成像的是
A. X-ray
B. Nuclear Magnetic Resonance Imaging
C. 超声波
D. Computed Tomography
答案:C
- 能够实现层级三维成像的是
A. Computed Tomography
B. Nuclear Magnetic Resonance Imaging
C. 超声波
D. 红外线
答案:AB
- 数码相机可以是
A. 单反相机
B. 立体相机
C. 胶片相机
D. 红外相机
答案:ABD
- 计算机视觉在数字图像分割上包括
A. 对象检测
B. 语义分割
C. 实例分割
D. 全景分割
答案:ABCD
- 计算机在绘画方面的表现包括
A. 基于循环生成式对抗网络进行照片的绘画风格生成
B. 基于深度强化学习对绘画数字图像进行绘制过程的反求
C. 基于笔、纸、墨物理仿真,采用计算机笔输入的绘画
D. 基于分形生成特殊图案
答案:ABCD
- 人眼用视网膜上杆状细胞辨别颜色
错误
- 人眼可见光只是电磁谱的很小一个部分
正确
- 电磁谱的波长和频率成正比
错误
- 白色太阳光只能被分解为7种离散的单色有色光,而非连续的
错误
Chapter 2 digitization 2 imaging
- 体感相机多是采用
A. 可见光
B. 不可见光
C. 特殊形状的结构光
D. 声波
答案:C
- 数码相机的成像部件是
A. CCD
B. CMOS
C. 胶片D. 纸张
答案:AB
- 能够实现层级三维成像的是
A. CT机
B. 核磁共振机
C. 正电子发射机
D. 红外线
答案:ABC
- 体感设备能够直接获取
A. RGB彩色图像
B. 深度图像
C. 红外图像
D. 人体、人手骨架
答案:AB
- 不可见光可以成像
正确
Chapter 2 digitization 3 step
- 能够直接用于二维成像的感光器是
A. 单个
B. 线性
C. 矩阵
D. 随机
答案:C
- 在彩色成像中,利用不同光具有不同穿透力的方法是
A. Tri-filter方法
B. Fovean方法
C. Bayer方法
D. 没有
答案:B
- 成像时感光器排列方式包括
A. 单个
B. 线性
C. 矩阵
D. 随机
答案:ABC
- 属于数字图像的文件格式包括
A. TIFF
B. EXIF
C. SVG
D. PNG
答案:ABD
- 属于混合光栅图像和矢量图形的文件格式包括
A. DXF
B. PSD
C. PDF
D. EXIF
答案:BC
- 图像数字化的步骤依次是
A. 空间采样
B. 时间采样
C. 强度量化
D. 压缩
答案:ABCD
- 属于矢量图形的文件格式包括
A. DXF
B. EXIF
C. AI
D. WMF
答案:ACD
- 图像数字化时采样决定
空间分辨率 - 图像数字化时量化决定
强度分辨率 - 数字图像的空间分辨率与物理尺寸直接对应
错误
- 数字图像的表示1方法包括哪些?各自用处是什么
强度矩形方法,用于可视化数字图像。
数据矩阵方法,用于表示数字图像所对应的数据。
表面模型方法,用于显示数字图像所对应的表面可视化。
频率域方法,用于表示数字图像在不同频率的数据。
数字图像马赛克
For nY = 0...ImageOut.Height-1, step = nMosaicHeight
For nX = 0...ImageOut.Width-1, step = nMosaicWidth
Piexl = Image.Getpiexl(nX,nY)
For nV = nY...nY+nMosaicHeight, step = 1
For nU = nX...nX+nMosaicWidth, step = 1
ImageOut.Setpixel(nU,nV,Piexl)
End for nU
End for nV
End for nX
End for nY
说明:依次从每一列到每一行以马赛克的高和宽为步长取像素值,获取的是马赛克块最左上角的像素值,再依次从该列以1为步长重新将之前取得的像素值赋予相应位置直到最后一个像素格。
第三章
Chapter 3 Color 1 Model
- 人眼中锥形细胞对下列光敏感度依次提高的是
A. 红绿蓝
B. 红蓝绿
C. 蓝绿红
D. 绿蓝红
答案:A
- 属于颜色加法模型的是
A. RGB
B. HSV
C. CMY
D. Lab
答案:A
- 属于颜色减法模型的是
A. RGB
B. HSV
C. CMY
D. Lab
答案:C
- 可以用于彩色比较的颜色模型是
A. RGB
B. HSV
C. CMY
D. Lab
答案:D
- 电视机的颜色模型是
A. RGB
B. HSV
C. YUV
D. Lab
答案:A
- 模拟电视信号传输的颜色模型是
A. RGB
B. YUV
C. YIQ
D. YCbCr
答案:BCD
- 色域依次变大的颜色模型是
A. CMYK
B. sRGB
C. AdobeRGB
D. CIE Lab
正确答案:ABCD
解析:CMYK < sRGB < AdobeRGB < CIE Lab
- 电视信号传输颜色模型的共同点在于
A. 强度与色彩分离
B. 色彩采用差值
C. 色彩采用和值
D. 色彩采用乘值
答案:AB
- 包含强度信息的有
A. YIQ中的Y
B. HSI中的H
C. Lab中的L
D. HSV中的V
答案:ACD
Chapter 3 Color 2 Conversion
- 灰度图像转化为彩色图像的方法包括
A. 切片方法
B. 变换方法
C. 加权方法
D. 均值方法
答案:AB
- 灰度图像能够直接转化为彩色数字图像
正确
- 彩色图像能够转化为灰度数字图像
正确
- 彩色数字图像转化为灰度表示,有哪些方法?至少使用四种颜色模型
(1)基于RGB颜色模型的通道选择方法,将某个颜色通道值作为亮度,将彩色图像变换为灰度图像。
(2)基于RGB颜色模型的通道组合方法,将两、三个颜色通道值的平均值作为亮度,将彩色图像变换为灰度图像。
(3)基于RGB颜色模型的通道加权方法,对三个颜色通道值分别进行加权,所获得值作为亮度,将彩色图像变换为灰度图像。
(4)基于RGB颜色模型的通道排序方法,对三个颜色通道值进行大小排序,所获得最大值、最小值、中间值中的一个作为亮度,将彩色图像变换为灰度图像。
(5)基于CMYK颜色模型的方法,以K为亮度,将彩色图像变换为灰度图像。
(6)基于HSI颜色模型的方法,以I为亮度,将彩色图像变换为灰度图像。
(7)基于HSV颜色模型的方法,以V为亮度,将彩色图像变换为灰度图像。
(8)基于HSB颜色模型的方法,以B为亮度,将彩色图像变换为灰度图像。
(9)基于YUV颜色模型的方法,以Y为亮度,将彩色图像变换为灰度图像。
(10)基于YIQ颜色模型的方法,以Y为亮度,将彩色图像变换为灰度图像。
(11)基于YCbCr颜色模型的方法,以Y为亮度,将彩色图像变换为灰度图像。
(12)基于Lab颜色模型的方法,以L为亮度,将彩色图像变换为灰度图像
- 比较RGB、YCbCr、HSI、Lab四种颜色模型的区别和联系。
区别
(1)从使用环境看,RGB用于电视机、显示器等显示设备、YCbCr用于数字电视传输、HSI用于绘画、设计、Lab用于颜色比较。
(2)从数据相关度看,RGB三个强度通道组合来表达色调、亮度等信息,而YCbCr、HSI、Lab则是将亮度和色调信息进行分离。YCbCr、Lab中色调信息采用色差来表示,HSI则是采用色调H、饱和度S来表示。
联系:
(1)四种颜色模型都是用来描述彩色数字图像。
(2)四种颜色模型可以直接、间接相互转换的
数字图像量化
输入:数字图像、量化等级
输出:数字图像
伪码:
Int nLevels
Float fRange = (nLevels - 1)/255.0 //(此为计算几种灰度值)
Float fStep = (nLevels - 1)/255.0 //(此为计算灰度值的步长)
Color PixelColor //(包含RGB三种颜色值)
For nY = 0 to ImageHeight; step = 1
For nX = 0 to ImageWidth step = 1
PixelColor = Image.GetColor(nX,nY)
nR = round(fRange*GetRvalue(PixelColor)) //(红色值落在哪个区间)
nR = round(fStep*nR) //(该值对应的灰度值(颜色))
nG = round(fRange*GetGvalue(PixelColor)) //(绿色值落在哪个区间)
nG = round(fStep*nG) //(该值对应的灰度值(颜色))
nB = round(fRange*GetBvalue(PixelColor)) //(蓝色值落在哪个区间)
nB = round(fStep*nR) //(该值对应的灰度值(颜色))
newImage->setPixel(nX,nY,nR,nG,nB)
End For nX
End For nY
颜色模型交换
1. 查看RGB颜色模型中R、G、B通道下的图像
输入:图像
输出:图像
算法描述:
for (nY = 0; nY<pDoc->m_ImageOpen.GetHeight(); nY = nY + 1)
{
for (nX = 0; nX< pDoc->m_ImageOpen.GetWidth(); nX = nX + 1)
{
ColorRefOne = pDoc->m_ImageOpen.GetPixel(nX, nY);
nR = GetRValue(ColorRefOne);
nG = GetGValue(ColorRefOne);
nB = GetBValue(ColorRefOne);
pDocRed->m_ImageOpen.SetPixel(nX, nY, RGB(nR, 0, 0));//G**通道为(0,nG,0);B通道为(0,0,nB)**
}
}
2. 将RGB转化为RBG、BGR、BRG、GRB、GBR模型
输入:图像
输出:图像
算法描述:
for (nY = 0; nY<pDoc->m_ImageOpen.GetHeight(); nY = nY + 1)
{
for (nX = 0; nX< pDoc->m_ImageOpen.GetWidth(); nX = nX + 1)
{
ColorRefOne = pDoc->m_ImageOpen.GetPixel(nX, nY);
nR = GetRValue(ColorRefOne);
nG = GetGValue(ColorRefOne);
nB = GetBValue(ColorRefOne);
pDocRBG->m_ImageOpen.SetPixel(nX, nY, RGB(nR, nB, nG));
//RBG颜色模型为(nR,nB,nG),依次类推
}
}
3. 将RGB模型转化为CMYK模型并查看不同通道下的图像
输入:图像
输出:图像
算法描述:
for (nY = 0; nY<pDoc->m_ImageOpen.GetHeight(); nY = nY + 1)
{
for (nX = 0; nX< pDoc->m_ImageOpen.GetWidth(); nX = nX + 1)
{
ColorRefOne = pDoc->m_ImageOpen.GetPixel(nX, nY);
nR = GetRValue(ColorRefOne);
nG = GetGValue(ColorRefOne);
nB = GetBValue(ColorRefOne);
pDocCyan->m_ImageOpen.SetPixel(nX, nY, RGB(0, nG, nB));
// M通道为(nR,0,nB);Y通道为(nR,nB,0)
}
}
4. 将RGB模型转化为YIQ模型并查看不同通道下的图像
输入:图像
输出:图像
算法描述:
for (nY = 0; nY<pDoc->m_ImageOpen.GetHeight(); nY = nY + 1)
{
for (nX = 0; nX< pDoc->m_ImageOpen.GetWidth(); nX = nX + 1)
{
ColorRefOne = pDoc->m_ImageOpen.GetPixel(nX, nY);
nR = GetRValue(ColorRefOne);
nG = GetGValue(ColorRefOne);
nB = GetBValue(ColorRefOne);
nYIQY = int(nR*0.299 + nG*0.587 + nB*0.114);
pDocY->m_ImageOpen.SetPixel(nX, nY, RGB(nYIQY, nYIQY, nYIQY));
//I通道的计算方式:
nYIQI = int(nR*0.596 - nG*0.274 - nB*0.322);
if (nYIQI>255)
{
nYIQI = 255;
}
if (nYIQI<0)
{
nYIQI = 0;
}
pDocI->m_ImageOpen.SetPixel(nX, nY, RGB(nYIQI, nYIQI, nYIQI));
//Q通道的计算方式:
nYIQQ = int(nR*0.211 - nG*0.523 + nB*0.312);
if (nYIQQ>255)
{
nYIQQ = 255;
}
if (nYIQQ<0)
{
nYIQQ = 0;
}
pDocQ->m_ImageOpen.SetPixel(nX, nY, RGB(nYIQQ, nYIQQ, nYIQQ));
}
}
5. 将RGB模型转化为HSV模型,调整适当参数
输入:图像,数值
输出:图像
算法描述:
for (nY = 0; nY<pDoc->m_ImageOpen.GetHeight(); nY = nY + 1)
{
for (nX = 0; nX< pDoc->m_ImageOpen.GetWidth(); nX = nX + 1)
{
ColorRefOne = pDoc->m_ImageOpen.GetPixel(nX, nY);
R = GetRValue(ColorRefOne);
G = GetGValue(ColorRefOne);
B = GetBValue(ColorRefOne);
// R, G, B [0, 255]
float H = 0, S = 0, V = 0;
float cMax = 255.0;
int cHi = max(R, max(G, B)); //highest color value
int cLo = min(R, min(G, B)); //lowest color value
int cRng = cHi - cLo; // color range
// compute value V
V = cHi / cMax;
// compute saturation S
if (cHi>0)
S = (float)cRng / cHi;
// compute hue H
if (cRng > 0)
{ // hue is defined only for color pixels
float rr = (float)(cHi - R) / cRng; float gg = (float)(cHi - G) / cRng; float bb = (float)(cHi - B) / cRng;
float hh;
if (R == cHi)
{
hh = bb - gg;
}
else
{
if (G == cHi)
{
hh = rr - bb + 2.0;
}
else
{
hh = gg - rr + 4.0;
}
}
if (hh < 0)
{
hh = hh + 6;
}
H = hh / 6;
}
//inverse
H = H + H_add;
H_add为需要调整的参数
float rr = 0, gg = 0, bb = 0;
float hh = fmod((6 * H), 6); // h! <- (6 • h) mod 6
int cl = (int)hh; // c\ <- \hl\
float c2 = hh - cl;
float x = (1 - S) * V;
float y = (1 - (S * c2)) * V;
float z = (1 - (S * (1 - c2))) * V;
switch (cl) {
case 0: rr = V; gg = z; bb = x; break;
case 1: rr = y; gg = V; bb = x; break;
case 2: rr = x; gg = V; bb = z; break;
case 3: rr = x; gg = y; bb = V; break;
case 4: rr = z; gg = x; bb = V; break;
case 5: rr = V; gg = x; bb = y; break;
}
int N = 256;
int r = min(floor(rr*N + 0.5), N - 1);
//r=(r&0xff)<<16;
int g = min(floor(gg*N + 0.5), N - 1);
//g=(g&0xff)<<8;
int b = min(floor(bb*N + 0.5), N - 1);
//b=(b&0xff);
pDocH->m_ImageOpen.SetPixel(nX, nY, RGB(r, g, b));
}
}
数字图像灰度化
输入:数字图像
输出:数字图像
算法描述:
for (nY = 0; nY < pDoc->m_ImageOpen.GetHeight(); nY = nY + 1)
{
for (nX = 0; nX < pDoc->m_ImageOpen.GetWidth(); nX = nX + 1)
{
ColorRefOne = pDoc->m_ImageOpen.GetPixel(nX, nY);
nR = GetRValue(ColorRefOne);
nG = GetGValue(ColorRefOne);
nB = GetBValue(ColorRefOne);
/*
1. 参数为R通道的值:byGray = nR;
2. 参数为G通道的值:byGray = nG;
3. 参数为B通道的值:byGray = nB;
4. 参数为RGB通道的最小值:byGray = min(nR,nG,nB);
5. 参数为RGB通道的最大值:byGray = max(mR,nG,nB);
6. 参数为RGB通道的中位数:byGray = middle(nR,nG,nB);
7. 参数为RG通道的平均值:byGray = (nR+nG)/2;
8. 参数为**GB通道的平均值:byGray = (nG+nB)/2;
9. 参数为BR通道的平均值:byGray = (nB+nR)/2;
10. 参数为CMYK通道的K值:byGray = min(255-nR, 255-nG, 255-mB)
11. 参数为CMYK通道的Y值:byGray =0.299*nR +0.587*nG +0.114*nB
12. 参数为YIQ通道的I值:byGray = (nR+nG+nB)/3;
13. 参数为HSL通道的L值:byGray = (max(nR, nG, nB) + min(nR, nG,nB))/2
14. 参数为HSV通道的V值:byGray = max(nR, nG, nB)/255*255
*/
pDocGray->m_ImageOpen.SetPixel(nX, nY, RGB(byGray, byGray, byGray));
}
}
第四章
Chapter 4 Algebra 1 Arithmetic basic
- 两幅数字图像四则运算都可采用的方法
A. 截断
B. 除以2
C. 减去255
D. 线性拉伸处理 rang x [(sum - minimum)/(maximum - minimum)]
答案:D
- 同输入数字图像比较,输出数字图像亮度提高的是
A. 加法运算
B. 减法运算
C. 乘法运算
D. 除法运算
答案:A
- 两幅数字图像减法运算结果的处理方法包括
A. 截断
B. 除以2加128
C. 加上255
D. 线性拉伸处理 rang x [(sum - minimum)/(maximum - minimum)]
答案:ABD
- 同输入数字图像比较,输出数字图像亮度降低的是
A. 加法运算
B. 减法运算
C. 乘法运算
D. 除法运算
答案:BCD
- 两幅数字图像乘法运算结果的处理方法包括
A. 归一化处理
B. 除以255
C. 减去255
D. 线性拉伸处理 rang x [(sum - minimum)/(maximum - minimum)]
答案:ABD
- 数字图像处理乘法运算可以用于去除区域,去除区域像素值设为
0 - 数字图像可以与常数进行四则运算
正确
- 两幅数字图像进行四则算术运算必须具有相同的宽度和高度
错误
- 合成数字图像可以采用四则运算
正确
Chapter 4 Algebra 2 Arithmetic variety
- 同输入数字图像相比较,输出数字图像亮度降低的是
A. Screen 运算 A + B - (A x B)
B. 排除运算 Exclution A/B - 2(A x B)
C. 颜色加深 color burn 1 - ((1 - B)/A)
D. 线性加深 Linear burn A + B - 1
答案:BCD
- 同输入数字图像比较,输出数字图像亮度提高的是
A. 加法运算
B. Screen A + B - (A x B)
C. 颜色减淡 color dodge B / (1 - A)
D. 除法运算
答案:ABC
- 数字图像合成方法还摆阔四则运算的变体
正确
- 两幅数字图像减法运算 A - B 与顺序无关
错误
- 两幅数字图像差值运算 |A - B| 与顺序有关
错误
Chapter 4 Algebra 1 Arithmetic complex
- 能够减少数字图像噪声
A. 平均运算
B. 减法运算
C. 乘法运算
D. 除法运算
答案:A
- 同输入数字图像比较,输出数字图像对比度得到改善的是
A. 覆盖 overlay
B. 硬光 hard light
C. 鲜光 vivid light
D. 线性光 linear light
答案:ABCD
- 数字图像 Alpha 混合(blending)采用的是
加权和 - 数字图像平均运算只能用于图像合成
错误
- 数字图像加法运算只能输入两个数字图像
错误
Chapter 4 Algebra 1 Arithmetic HSL
- 基于 HSL 颜色模型,A、B两幅数字图像,A为当前图层,B为背景图层,它们合成运算能够产生亮度效果的是
A. HA, HB, LB
B. HB, SA, LB
C. HB, SB, LA
D. HA, SA, LB
答案:C
- 基于 HSL 颜色模型,A、B两幅数字图像,A为当前图层,B为背景图层,它们合成运算能够产生饱和度效果的是
A. HA, HB, LB
B. HB, SA, LB
C. HB, SB, LA
D. HA, SA, LB
答案:B
- 基于 HSL 颜色模型,数字图像合成运算不能够产生色调效果
错误
- 基于 HSL 颜色模型,数字图像合成运算能够产生色彩效果
正确
Chapter 4 Algebra 5 Logic Operations 1 sort
- 数字图像最小值运算可以用于获得
A. 亮点
B. 暗点
C. 平均值点
D. 最大值点
答案:B
- 数字图像最大值运算可以用于获得
A. 亮点
B. 暗点
C. 平均值点
D. 最小值点
答案:A
- 为输入两幅数字图像1、2而生成输出数字图像3正确对应的是


A. 亮点 Multiply
B. Darken
C. Lighten
D. Screen
答案:AD
- 两幅数字图像的各种合成运算不可以用于换装
错误
- 两幅数字图像的中间值运算 (max + min)/2 可以变化为采用小于 1 的不同权值
正确
Chapter 4 Algebra 6 Logic 2 boolean
- 数字图像负片生成算法包括
A. 减法运算
B. 逻辑非运算
C. 乘法运算
D. 补集运算
答案:ABD
- 能够实现数字图像信息叠加的算术操作包括
A. 加法运算
B. 逻辑或运算
C. 乘法运算
D. 补集运算
答案:AC
- 能够实现数字图像对象移除的算术操作包括
A. 逻辑与运算
B. 减法运算
C. 乘法运算
D. 差集运算
答案:BC
- 矩阵乘法和数组乘法是相同的
错误
- 逻辑运算不能用于灰度和彩色数字图像
错误
- 数字图像负片只能用非运算实现
错误
第五章
Chapter 5 Geometric 1 Affine basic
- 数字图像仿射变换包括
A. 平移 Translate
B. 放缩 Scale
C. 扭转 Twirl
D. 错切 Shear
答案:ABD
- 对数字图像进行平移、旋转、放大和缩小等几何变换,不会改变亮度,而可能改变像素所在的
位置 - 数字图像旋转变换不会扩大尺寸
错误
- 数字图像几何变换可能改变图像中各对象之间的空间位置关系
正确
- 数字图像放缩的值只能是整数值
错误
- 数字图像平移的值只能是正值
错误

Chapter 5 Geometric 5 Affine interact
- 在数字图像处理中,双线性,双三次,最近邻三种差值运算分别对应的图示是
A.
B.
C.
D.
答案:ABC
- 数字图像插值运算性能依次提高的是
A. 最近邻方法
B. 双线性方法
C. 双三次方法
D. 双样条方法
答案:ABCD
- 在仿射变换中,下列说法正确的是
A. 直线映射为直线
B. 三角形映射三角形
C. 平行关系保留
D. 四个点定义
答案:ABC
- 在数字图像处理中,双线性、双三次、最近邻三种插值运算分别需要
A. 一个点
B. 四个点
C. 六个点
D. 十六个点
答案:ABD
-
数字图像水平镜像操作是将图像左半部分和右半部分以图像
垂直中轴线为中心进行镜像对换 -
数字图像任何几何变换都不能采用正向映射
错误
- 数字图像几何变换采用逆向映射
正确
- 数字图像局部仿射变换可以采用三角形
正确
- 数字图像的顺时针旋转90度、逆时针旋转90度和翻转的区别是什么?
数字图像顺时针旋转90度,从上到下的每一行依次变换为旋转后的从右到左的每一列,每一行自左而右像素变为每一列的自上而下。
数字图像逆时针旋转90度,从上到下的每一行依次变换为旋转后的从左到右的每一列,每一行自左而右像素变为每一行的自下而上。
数字图像的翻转,包括水平翻转和垂直翻转。数字图像水平翻转是指以垂直中心线为对称线,左右列像素进行对换,数字图像垂直翻转是指以水平中心线为对称线,上下行像素进行对换。
- 数字图像的旋转180度和水平镜像的区别是什么
数字图像旋转180度,以垂直中心线为对称线,左右列像素进行对换,以水平中心线为对称线,上下行像素进行对换。
数字图像水平镜像,以垂直中心线为对称线,左右列像素进行对换。
- 请给出基于九个控制点进行几何变换平移、缩放、旋转的交互操作规则
(1)当鼠标位于锚点控制格时,启动“平移”锚点命令,进入“平移”锚点状态,通过移动鼠标改变锚点位置。
(2)当鼠标位于非锚点控制格的矩形框内时,启动“平移”对象命令,进入“平移”对象状态,通过移动鼠标改变对象及其控制框位置。
(3)当鼠标位于水平控制格时,启动水平“放缩”对象命令,进入水平“放缩”对象状态,通过移动鼠标改变对象及其控制框水平大小。
(4)当鼠标位于垂直控制格时,启动垂直“放缩”对象命令,进入垂直“放缩”对象状态,通过移动鼠标改变对象及其控制框垂直大小。
(5)当鼠标位于拐角控制格时,启动双向(水平和垂直)“放缩”对象命令,进入双向“放缩”对象状态,通过移动鼠标改变对象及其控制框整体大小。
(6)当鼠标位于控制杠时,启动“旋转”对象命令,进入“旋转”对象状态,通过移动鼠标来旋转对象及其控制框。
-
下列算法描述的是数字图像几何变换的逆向处理步骤,请给出正确排序
A. Create target image I’
B. Let (x,y) ← T-1(u’,v’)
C. return target image I’
D. for all target image coordinates (u’,v’) do
E. TRANSFORMIMAGE (I,T)
I : source image
T :coordinate transform function
F. I-1(u’,v’) ← GETINTERPOLATEDVALUE(I,x,y)
答案:EADBFC
Chapter 5 Geometric 7 Non-Linear
- 在双线性变换中,下列说法不正确的是
A. 任何方向的直线都映射为直线
B. 矩形映射为平行四边形
C. 平行关系保留
D. 4个点定义
答案:ABC
- 数字图像非线性变换包括
A. 球形变换 Spherical
B. 旋转 Rotate
C. 双线性变换 bilinear
D. 涟漪变换 ripple
答案:ACD
- 在投影变换中,下列说法正确的是
A. 直线映射为直线
B. 矩阵映射为平行四边形
C. 平行关系保留
D. 四个点定义
答案:AD
- 数字图像(a)的四个变换b、c、d、e依次是

A. 球形变换 Spherical
B. 错切 Shear
C. 扭转变换 Twirl
D. 涟漪变换 Ripple
正确答案:ABCD
- 仿射变换(affine mapping)是投影映射(projective mapping)的特例
正确
- 根据下列数字图像水波纹变换Ripple transformation公式,请给出伪代码的算法描述

Input:
ImageOld
double dAx;
double dAy;
double dTx;
double dTy;
Output:
ImageNew
Process:
int nX;
int nY;
COLORREF PixelColor;
int nXOriginal;
int nYOriginal;
for( nY=0; nY< m_ImageNew.GetHeight(); nY++)
{
for(nX=0; nX< m_ImageNew.GetWidth();nX++)
{
nXOriginal=nX+dAx*sin(2*3.1415927*nY/dTx);
nYOriginal=nY+dAy*sin(2*3.1415927*nX/dTy);
PixelColor = ImageOld.GetPixel(nXOriginal,nYOriginal);
ImageNew.SetPixel(nX,nY, PixelColor);
}
}
Chapter 5 Geometric 9 Extend
- 多幅数字图像能够生成
A. 全景图
B. 三维模型
C. 动态效果
D. 旋转
答案:ABC
- 基于内容感知的数字图像处理包括
A. 放大
B. 缩小
C. 平移
D. 删除
答案:ABCD
- 基于数字图像建立三维模型的方法包括
A. 多幅数字图像
B. 面向人脸的双幅数字图像
C. 面向对称对象的基于勾画的单幅数字图像
D. 基于深度和彩色的两种数字图像
答案:ABCD
- 数字图像与三维模型没有任何关系
错误
- 基于数字图像进行局部动态效果能够生成动画和特殊效果
正确
- 数字图像不是计算机动画素材之一
错误
- 基于数字图像能够实现局部替换,产生合成效果
正确
- 数字图像变形morph处理需要同时各自混合颜色和形状才能更好地生成中间数字图像
正确
- 给出基于内容感知进行数字图像局部区域删除、平移和放缩的各自方法,并同普通处理比较给出各自的优点
对数字图像局部区域进行删除,采用背景颜色来填充删除的局部区域,简单地复制某个像素,颜色是一致的。
对数字图像局部区域进行基于内容感知的删除,采用局部区域周围的多个像素来智能地填充删除的局部区域,填充的颜色与周围环境是一致的,具有相似的图案和纹理。同普通的删除相比,在填充所删除区域时考虑了所删除区域及其周围信息,具有智能性。
对数字图像局部区域进行平移,将局部区域移到新的位置,只是简单地用新像素替代已有像素,而局部区域的原来位置采用背景颜色来填充,简单地复制某个像素。
对数字图像局部区域进行基于内容感知的平移,则是将局部区域移到新位置,与已有像素进行混合处理,而局部区域的原来位置则是基于内容感知来填充。同普通的平移相比,填充局部区域原来位置时采用了基于内容感知,在新位置上,局部区域和原有像素进行了混合处理,更具真实感。
对数字图像进行放缩,将每个像素坐标进行同样的放缩处理,并不考虑其中各种对象的固有比例和几何关系等。
对数字图像局部区域进行基于内容感知的放缩,对保持所感知对象的某些几何属性位置,例如不改变尺寸、宽高比一致等。同普通的放缩相比,是面向对象的,是在对象层次上进行的,具有感知数字图像内容的智能性。
数字图像的算术运算
输入:数字图像1、数字图像2
输出:数字图像3
算法描述:
for (nY = 0; nY < pDocNew->m_ImageOpen.GetHeight(); nY++)
{
for (nX = 0; nX < pDocNew->m_ImageOpen.GetWidth(); nX++)
{
nROne = 0; nGOne = 0; nBOne = 0;
if (nX < pDoc->m_ImageOpen.GetWidth())
{
if (nY < pDoc->m_ImageOpen.GetHeight())
{
PixelColorOne = pDoc->m_ImageOpen.GetPixel(nX, nY);
nROne = GetRValue(PixelColorOne);
nGOne = GetGValue(PixelColorOne);
nBOne = GetBValue(PixelColorOne);
}
}
nRAnother = 0; nGAnother = 0; nBAnother = 0;
if (nX < pDocAnother->m_ImageOpen.GetWidth())
{
if (nY < pDocAnother->m_ImageOpen.GetHeight())
{
PixelColorAnother = pDocAnother->m_ImageOpen.GetPixel(nX, nY);
nRAnother = GetRValue(PixelColorAnother);
nGAnother = GetGValue(PixelColorAnother);
nBAnother = GetBValue(PixelColorAnother);
}
}
此为运算方法:
nRNew = nROne + nRAnother - (nROne * nRAnother);
nGNew = nGOne + nGAnother - (nGOne * nGAnother);
nBNew = nBOne + nBAnother - (nBOne * nBAnother);
其他运算见下表
此为检查RGB值是否越界:
/*if (nRNew > 255)
{
nRNew = 255;
}
if (nGNew > 255)
{
nGNew = 255;
}
if (nBNew > 255)
{
nBNew = 255;
}
if (nRNew < 0) {
nRNew = 0;
}
if (nGNew < 0) {
nGNew = 0;
}
if (nBNew < 0) {
nBNew = 0;
}*/
pDocNew->m_ImageOpen.SetPixel(nX, nY,
RGB(nRNew, nGNew, nBNew));
}
}
数字图像几何变换
平移
输入:数字图像,水平平移量、垂直平移量
输出:数字图像
算法描述:
//遍历生成图像为其赋像素值
//水平与垂直方向的偏移量
Int nXOffset, nYOffset
for (nY = 0; nY < pDocNew->m_ImageOpen.GetHeight(); nY++)
for (nX = 0; nX < pDocNew->m_ImageOpen.GetWidth(); nX++)
//平移后留下的区域不需要为其赋像素值
if ((nX - nXOffset) < 0
continue;
if ((nY - nYOffset) < 0)
continue;
//平移后移出去的部分也不需要为其赋像素值
if ((nX - nXOffset) >= pDoc->m_ImageOpen.GetWidth())
continue;
if ((nY - nYOffset) >= pDoc->m_ImageOpen.GetHeight())
continue;
PixelColor = pDoc->m_ImageOpen.GetPixel(nX - nXOffset, nY - nYOffset);
pDocNew->m_ImageOpen.SetPixel(nX, nY, PixelColor);
缩放
输入:数字图像、放缩量
输出:数字图像
算法描述:
Int Scale
//Scale>1时为放大,<1时为缩小
for (nY = 0; nY < pDocNew->m_ImageOpen.GetHeight(); nY++)
for (nX = 0; nX < pDocNew->m_ImageOpen.GetWidth(); nX++)
PixelColor = pDoc->m_ImageOpen.GetPixel(int(nX / Scale), int(nY / Scale));
//此为水平方向上的缩放变体
PixelColor = pDoc->m_ImageOpen.GetPixel(int(nX / Scale), nY);
//此为垂直方向上的缩放变体
PixelColor = pDoc->m_ImageOpen.GetPixel(nX, int(nY / Scale));
pDocNew->m_ImageOpen.SetPixel(nX, nY, PixelColor);
错切
输入:数字图像,水平偏移量,垂直偏移量
输出:数字图像
算法描述:
Float fXShear
Float fYShear
for (nY = 0; nY < pDocNew->m_ImageOpen.GetHeight(); nY++)
for (nX = 0; nX < pDocNew->m_ImageOpen.GetWidth(); nX++)
if ((int(nY - fYShear * nX)) < 0)
continue;
if ((int(nY - fYShear * nX)) >= pDoc->m_ImageOpen.GetHeight())
continue;
PixelColor = pDoc->m_ImageOpen.GetPixel(nX, int(nY - fYShear * nX));
pDocNew->m_ImageOpen.SetPixel(nX, nY, PixelColor);
旋转90°
输入:数字图像
输出:数字图像
算法描述:
for (nY = 0; nY < pDocNew->m_ImageOpen.GetHeight(); nY++)
{
for (nX = 0; nX < pDocNew->m_ImageOpen.GetWidth(); nX++)
{
PixelColor=pDoc->m_ImageOpen.GetPixel(nY,pDoc->m_ImageOpen.GetHeight() - nX - 1);
pDocNew->m_ImageOpen.SetPixel(nX, nY, PixelColor);
}
}
旋转任意角度
输入:数字图像、角度
输出:数字图像
//算法描述
//1. 计算旋转后的画布大小
//2. 选择插值方法
int nWidthRotatedAdd;
nWidthRotatedAdd = int(-(nWidthRotated - 1) * 0.5 * fCos+ (nHeightRotated - 1) * 0.5 * fSin+ (pDoc->m_ImageOpen.GetWidth() - 1) * 0.5);
int nHeightRotatedAdd;
nHeightRotatedAdd = int(-(nWidthRotated - 1) * 0.5 * fSin- (nHeightRotated - 1) * 0.5 * fCos+ (pDoc->m_ImageOpen.GetHeight() - 1) * 0.5);
//3.反向映射
for (nY = 0; nY < pDocNew->m_ImageOpen.GetHeight(); nY++)
{
for (nX = 0; nX < pDocNew->m_ImageOpen.GetWidth(); nX++)
{
nXOriginal = int(nX * fCos - nY * fSin + nWidthRotatedAdd + 0.5);
nYOriginal = int(nX * fSin + nY * fCos + nHeightRotatedAdd + 0.5);
if (nXOriginal < 0)
{
continue;
}
if (nYOriginal < 0)
{
continue;
}
if (nXOriginal >= pDoc->m_ImageOpen.GetWidth())
{
continue;
}
if (nYOriginal >= pDoc->m_ImageOpen.GetHeight())
{
continue;
}
PixelColor = pDoc->m_ImageOpen.GetPixel(nXOriginal, nYOriginal);
pDocNew->m_ImageOpen.SetPixel(nX, nY, PixelColor);
}
}
第六章
Chapter 6 Enhance 1 Point 3 Linear
- 数字图像整体线性增强处理时斜率变小
A. 对比度变大
B. 对比度不变
C. 对比度变小
D. 亮度不变
答案:C
- 二值化属于数字图像增强处理中
A. 整体线性变换
B. 局部线性变换
C. 分段线性变换
D. 任意线性变换
答案:B
- 数字图像整体线性增强时截距变大
A. 亮度变大
B. 亮度不变
C. 亮度变小
D. 对比度不变
答案:A
- 数字图像线性的点变换包括
A. 整体线性变换
B. 局部线性变换
C. 分段线性变换
D. 二值化
答案:ABCD
-
数字图像增强处理中亮度调整可以看作算术运算中的
加法 -
数字图像增强处理中的对比度调整可以看作算术运算中的
乘法 -
数字图像增强处理中分段线性变换只能是三段
错误
- 数字图像自动调整对比度时需要修改起点和终点
正确
- 数字图像的底片效果可以通过局部线性变换实现
正确
- 数字图像增强处理中亮度变化值只能是正值
错误
- 数字图像增强处理中对比度变化值只能是正值
正确
- 数字图像增强处理中对比度可以自动调整
正确
- 数字图像颜色整体线性变换和局部线性变换都可以看作是分段线性变换的特例
正确
- 数字图像的颜色最小值、最大值分别是alow 、ahigh ,进行自动对比度调整后的最小值、最大值分别是amin、amax,给出最终的变换公式
Chapter 6 Enhance 1 Point 2 nonlinear
A. 亮度变大
B. 对比度不变
C. 亮度变小
D. 亮度不变
答案:A
A. 亮度变大
B. 对比度不变
C. 亮度变小
D. 亮度不变
答案:A
A. 亮度变大
B. 对比度不变
C. 亮度变小
D. 亮度不变
答案:A
- 像素值与物理量的关系是
A. 线性
B. 非线性
C. 毫无关系
D. 任意
答案:B
A. 对比度变大
B. 对比度不变
C. 对比度变小
D. 亮度不变
答案:C
- 在数字图像增强中,基于点处理的亮度变换包括
A. 线性变换
B. 非线性变换
C. 反转变换
D. 对数变换
答案:ABCD
- 在数字图像增强中,非线性点变换包括
A. 指数变换
B. 幂次变换
C. 反转变换
D. 对数变换
答案:ABD
- 数字图像切片 slicing 处理方法包括
A. 位平面方法
B. 灰度阶方法
C. 线性方法
D. 非线性方法
答案:AB
- 数字图像
指数点变换增强高亮区域细节,减少阴影区域细节 - 数字图像对数点变换
减少高亮区域细节,增加阴影区域细节 - 胶片、数码相机传感器、显示器均有 Gamma 值
正确
- 数码相机、扫描仪、显示器、打印机具有相同的 Gamma 值
错误
- 数字图像在实际 Gamma 校正时需要进行起点修改
正确
- 数字图像增强处理中非线性点变换支持一对多映射
错误
- 数字图像增强处理中线性点变换和非线性点变换可以进行组合
正确
- 数字图像进行Gamma校正时像素值不需要进行尺寸放缩
正确
Chapter 6 Enhance 2 Histogram 1 What
- 数字图像与直方图之间的映射关系是
A. 多对多
B. 一对一
C. 多对一
D. 一对多
答案:C
- 直方图能够体现数字图像的信息包括
A. 曝光度的过与欠
B. 动态范围的高与低
C. 对比度的高低
D. 强度分布
答案:ABCD
- 数字图像的直方图对应的数据结构是
数组
Chapter 6 Enhance 2 Histogram 7 progress
- 经过直方图均衡化 equalization 的数字图像,灰度级出现的概率
A. 相同
B. 不相同
C. 不变
D. 近似
答案:D
- 数字图像直方图规定化 specification 可以输入
A. 参考的数字图像
B. 参考的直方图
C. 参考的直方图函数
D. 参考的直方图曲线
答案:ABCD
- 数字图像的直方图均衡化 equalization 可以借助直方图规定化 specification 来实现
错误
- 数字图像直方图均衡化 equalization 以累积分布函数作为变换函数来修正直方图
正确
- 数字图像经过直方图均衡化 equalization 只能生成具有一种形状直方图的图像
正确
- 数字图像的累积直方图 Cumulativehistogram 是以直方图为输入的
正确
line 4:
w*h;line 10:
H[i-1]+line 16:
u,line 17:
H[a]line 18:
,b
输入:
待处理数字图像IA的直方图hA
参考数字图像IR的直方图hR,与hA有同样的元素个数
设K为hA的元素个数
设PA为hA的累积分布函数
设PR为hR的累积分布函数
处理:
创建元素个数为K的列表fhs
For a form 0 to K-1
{
j = K-1
{
fhs[a]=j
j=j-1
}while (j>0and PA(a) <= PR(j))
}
输入图像IA
输出图像IO,与输入图像IA具有同样的宽度和高度
For y form 0 to H-1
{
For x form 0 toW-1
{
Gray = IA.GetPixel(x, y)
IO.SetPixel(x, y, fhs[Gray])
}
}
Chapter 6 Enhance 3 Neighbor 1 Neighbor-5 Smooth
- 能够实现数字图像平滑的处理方法
A. 线性点处理
B. 基于直方图的处理
C. 邻域处理
D. 非线性点处理
答案:C
- 在数字图像中,基于领域处理的滤波器包括
A. 可以是十字、方形等形状
B. 可以是 3*3、5*5 等不同尺寸
C. 可以有不同的权值
D. 可以采用中心为原点
答案:ABCD
- 若操作是在像素的某个邻域内进行的,即输出数字图像的像素颜色值由对应的输入数字图像的像素颜色值及其
邻域像素颜色值,则称其为邻域操作 - 在数学上,数字图像模糊处理相当于数字图像被平均或被
积分 - 在数字图像中,一个像素的邻域只有8领域
错误
- 采用伪代码描述数字图像均值滤波mean filter的算法,滤波器宽度为2R+1
Chapter 6 Enhance 3 Neighbor 6 Smooth extreme
- 最小值滤波器可用于检测数字图像中的像素点是
A. 最亮
B. 最暗
C. 中间亮度
D. 平均亮度
答案:B
- 阿拉法裁剪均值滤波器 a-trimmed mean filter 是
A. 中值 median 滤波器
B. 均值 mean 滤波器
C. 排序 rank 滤波器
D. 混合 hybrid 滤波器
答案:D
- 最大值滤波器可用于检测数字图像中的像素点是
A. 最亮
B. 最暗
C. 中间亮度
D. 平均亮度
答案:A
- 在空间域基于滤波器处理数字图像时,二维滤波器可以分解为多个一维滤波器,以提高计算效率
正确
- 彩色数字图像平滑处理无需考虑颜色模型
错误
- 在空间域进行数字图像排序滤波有哪些?各有什么特点?
排序滤波器包括:1. 中值滤波、2.中值滤波的线性组合、3. 中值滤波的高阶组合、4. 加权的中值滤波、5. 迭代的中值滤波、6. 最大值滤波、7. 最小值滤波、8. 中点值滤波。
1适合处理脉冲噪声,脉冲噪声要小于滤波器宽度的一半
2取多个滤波器结果的线性加权值
3取多个中值滤波器结果的最大值
4对像素值加权后再做中值滤波
5对数字图像进行多次中值滤波
6用于提取最亮的像素
7用于提取最暗的像素
8用于提取平均亮度值

Line15:
2*K+Line17:
=h-2Line18:
=w-2;Line24:
=k++Line29:
P[k]
- 采用伪代码描述数字图像加权中值滤波weighted median filter的算法, 滤波器半径为R。
Chapter 6 Enhance 4 Neighbor Sharpen 5 Laplacian-1
- 数字图像进行二阶导数运算时,滤波矩阵系数之和是
A. 大于0
B. 等于0
C. 小于0
D. 等于1
答案:B
- 基于二阶导数对数字图像进行锐化处理时,滤波矩阵系数之和是
A. 大于0
B. 等于0
C. 小于0
D. 等于1
答案:B
- 数字图像进行Laplacian运算时,参与的像素包括
A. 4邻域
B. 8邻域
C. 全领域
D. 无邻域
答案:AB
- 可以用于数字图像 laplacian 运算的有
A.
B.
C.
D.
答案:AB
- 可以用于数字图像锐化运算的有
0 -1 0 -1 5 -1 0 -1 0
0 -1 0 -1 4 -1 0 -1 0
-1 -1 -1 -1 8 -1 -1 -1 -1
-1 -1 -1 -1 9 -1 -1 -1 -1 A. 1
B. 2
C. 3
D. 4
答案:AD
- 数字图像的二阶导数与过零点对应
正确
- 数字图像空间域处理中非锐化 Unsharpmasking 滤波是高增 High-boost 滤波的推广
错误
- 彩色数字图像锐化处理需要考虑颜色模型
正确
- 给出数字图像进行非锐化蒙版 Unsharpmask 处理的步骤
- 获得待处理数字图像的模糊数字图像。
- 对待处理数字图像及其模糊数字图像进行减法运算,获得边缘锐化的蒙版数字图像
- 将待处理数字图像与蒙版数字图像进行加权处理,从而获得锐化数字图像。
输入:
待处理数字图像II
待处理数字图像的蒙版数字图像M
输出:
锐化的数字图像Ish,与输入图像II具有同样的宽度和高度
For y form 0 to H-1
{
For x form 0 toW-1
{
If(dII(x,y)>=Tc)
{
gray = II.GetPixel(x, y)+a M(x,y)
}
Else
{
gray = II.GetPixel(x, y)
}
Ish.SetPixel(x, y, int(gray))
}
}
Chapter 6 Enhance 4 Neighbor Sharpen 1 Gradient-4
- 数字图像进行一阶导数运算时,滤波矩阵系数之和是
A. 大于0
B. 等于0
C. 小于0
D. 等于1
答案:B
- 在数字图像中,像素位置值之间距离包括
A. 欧拉距离 eudclidean distance
B. 城区距离 city-block distance
C. 棋盘距离 chessboard distance
D. 没有距离 null distance
答案:ABC
- 在数学上,数字图像锐化处理相当于数字图像被
微分 - 数字图像一阶导数与像素颜色值斜率对应
正确
联系:Roberts 滤波、Prewitt滤波、Sobel滤波都是用于强化数字图像细节,提供边缘锐化的数字图像。
区别:Roberts 滤波采用对角交叉来计算一阶导数,而Prewitt滤波、Sobel滤波则是采用邻接行、列来计算一阶导数。
Prewitt滤波平等对待邻接行、列的像素,而Sobel滤波则是邻接行、列中远近不同像素赋予不同的权值,具有较好的平滑预处理功能。
Chapter 6 Enhance 5 Frequency 1 Continuous Fourier-3 Cosin
- 2D 离散变换快速算法的基础是
A. 旋转不变性
B. 周期性
C. 对称性
D. 可分离性
D
- 快速离散傅里叶变换计算复杂度是
A. O(nXn)
B. O(n)
C. O(nlogn)
D. O(logn)
答案:C
- FFT 变换核是
A. 复数
B. 实数
C. 整数
D. 浮点数
答案:A
- 数字图像可以表示为
A. 频率域
B. 数据矩阵
C. 表面模型
D. 亮度
答案:ABCD
- 数字图像的 2D 离散变换的作用有
A. 特征提取
B. 减少维度
C. 图像编码
D. 除去噪音
答案:ABCD
- 任意波形可分解为不同幅值、不同
频率的正弦波的加权和 - 在数字图像变换域中,能量将集中到
低频成分 - 傅里叶变换是一种数学变换(正交变换),可以把信号(或函数)分解成不同
幅度的具有不同频率的正弦和余弦信号(或函数) - 短时间离散二维傅里叶变换在时域和频域是局部化的
正确
- 基于变换域的数字图像处理方法的步骤是什么?
首先对图像进行正交变化,然后进行各种处理,处理之后再变回空间域,得到处理结果。包括滤波、数据压缩、特征处理等处理
Chapter 6 Enhance 5 Frequency 4 Continuous Wavelet-6
- JPEG 2000 数字图像标准采用的变换是
A. 离散余弦变换
B. 离散小波变换
C. 离散正弦变换
D. 离散傅里叶变换
答案:B
- 基于正弦波曲线的离散变换方法包括
A. 离散余弦变换
B. 离散小波变换
C. 离散傅里叶变换
D. 离散 Harr 变换
答案:AC
-
如果对信号的高频分量不再分解,而对低频分量进行连续分解,便可得到信号不同分辨率下的低频分量,这称之为信号的
多分辨率分析 -
离散二维小波变换在时域和频域都是局部的
正确
- 小波包变换是小波变换的线性组合
正确
- 数字图像变换域实现方法包括哪些,各自的优缺点是什么
二维离散傅立叶变换,采用复数做变换核,余弦和正弦是非正交的,变换后数据是复数。
二维离散余弦变换,采用余弦做变换核,用于JPEG图像压缩。
哈达玛变换,采用+1和-1做变换矩阵的系数,变换矩阵能够按照规律生成。
二维离散小波变换,包括哈尔小波、Daub小波,是正交的,对数字图像可以进行多分辨率分析。用于JPEG2000图像压缩。
二维离散小波包变换,是小波变换的线性组合。
Chapter 6 Enhance 5 Frequency 7 Smooth lowpass-8 Smooth
- 用于数字图像模糊的低通滤波器包括
A. 高斯低通滤波器
B. Butterworth
C. 指数低通滤波器
D. 梯形低通滤波器
答案:ABCD
- 彩色数字图像不能进行基于频率域的增强处理
错误
- 数字图像频率域处理中只能采用离散二维傅里叶变换
错误
- 实现数字图像模糊的方法有哪些
数字图像进行模糊的方法包括空间域和变换域两大类。
- 空间域方法,包括均值滤波、高斯滤波等。
- 变换域方法,低通滤波方法,包括Butterworth低通滤波器、指数低通滤波器、梯形低通滤波器、高斯滤波等。
- 给出对数字图像进行频率域平滑处理的步骤
先对数字图像进行离散变换处理,获得频率域(变换域)的数据,该数据具有多种频率,代表不同重要程度,低频表示整体信息、高频表示细节信息。
接着在变换域,采用低通滤波方法,例如,Butterworth低通滤波器、指数低通滤波器、梯形低通滤波器、高斯滤波等。
最后对低通滤波处理后的频率域数据进行相应的逆离散变换,从而获得平滑的数字图像。
Chapter 6 Enhance Frequency 9 Sharpen
- 具有明显振铃,数字图像边缘模糊不清
A. 理想高通滤波器
B. Butterworth 高通滤波器
C. 指数高通滤波器
D. 梯形高通滤波器
答案:A
- 用于数字图像锐化的高通滤波器包括
A. 高斯高通滤波器
B. Butterworth 低通滤波器
C. 指数高通滤波器
D. 梯形高通滤波器
答案:ACD
- 为了消除模糊,突出边缘,实现图像的锐化,可以采用的方法是低通滤波
错误
- 实现数字图像锐化的方法有哪些?
数字图像实现锐化的方法包括空间域和变换域两大类方法。
- 空间域方法,基于导数的非锐化、高增滤波等。导数包括一阶导数和二阶导数,一阶导数包括Roberts算子、Prewitt算子、Sobel算子等,二阶导数包括Laplacian算子等。
- 变换域方法,高通滤波方法,例如,Butterworth高通滤波器、指数高通滤波器、梯形高通滤波器。
数字图像点处理
亮度调整
输入:数字图像、RADD、GADD、BADD
输出:数字图像
算法描述:遍历每个像素点,对RGB三个通道的灰度值分别加上ADD数值,判断是否越界后将像素值赋予新图像。
对比度调整
输入:数字图像、RMULTIPLY、BMULTIPLY、GMULTIPLY
输出:数字图像
算法描述:遍历每个像素点,对RGB三个通道的灰度值分别乘上MULTIPLY数值,判断是否越界后将像素值赋予新图像。
自动对比度调整
输入:数字图像
输出:数字图像
算法描述:
找出该图像RGB三个通道的最大灰度值以及最小灰度值Highcolor、Lowcolor
生成等大小新图像
对比原图像在相应位置按
Color = int (Mincolor (一般设为0) + (color - Lowcolor) * (Maxcolor(设为255) - Mincolor) * 1.0 / (Highcolor - Lowcolor)); 计算像素值
判断像素值是否越界
填入像素值
全局线性变换
输入:数字图像,colorF1、colorF2、colorG1、colorG2
说明:原函数为**,其中**
公式变为:
[外链图片转存失败,源站可能有防盗链机制,建议将图片保存下来直接上传(img-p0TGDHER-1608624097633)(images\clip_image006.jpg)]
输出:数字图像
算法描述:遍历每个像素点,对RGB三个通道的灰度值分别经过函数g(x,y)的变换,判断是否越界后将像素值赋予新图像。
非线性变换
公式:s = log(1 + f(x,y)) * 255/log256
第七章
Chapter 7 Degrade 1 Noise 1 Model 2 Type
- 数字图像常见噪声包括
A. 高斯噪声
B. 指数分布噪声
C. 均匀分布噪声
D.脉冲噪声
答案:ABCD
- 将所获取数字图像分解为理想组成成分和噪音组成成分,它们之间的关系包括
A. 加法
B. 减法
C. 乘法
D. 除法
答案:AC
A.
B.
C.
D.
答案:ABCD
- 高斯噪声源于电子电路噪声和由低照明度或高温带来的
传感器噪声。 - 在脉冲噪声中,负脉冲以
黑点(胡椒点)出现,正脉冲以白点(盐点)出现。 - 高斯噪声是数字图像退化的一个原因
正确
- 数字图像的信号与噪音组成可分解为加法模型和乘法模型,它们能够相互转换
正确
- 数字图像进行数字化时可能产生噪音
正确
- 斑点对应数字图像组成分解的加法模型
错误
- 数字图像中斑点与空间相关
正确
- 数字图像中噪音只能是单个孤立像素
错误
Chapter 7 Degrade 2 Blur 1 Source 3 Position
- 数字图像模糊退化原因包括
A. 摄像机未聚焦
B. 物体与摄像设备之间的相对移动
C. 随机大气湍流
D. 成像光源或射线的散射
答案:ABCD
- 数字图像退化中的模糊包括
A. 线性运动模糊
B. 均匀散焦模糊
C. 大气湍流模糊
D. 选择模糊
答案:ABCD
- 数字图像退化形式只有噪音和模糊
错误
Chapter 8 Restore 1 Denoise 1 Spatial Mean filter 2
- 对于高斯和均匀随机分布这类噪声有最好的效果
A. 中值滤波器
B. 最大值滤波器
C. 最小值滤波器
D. 修正阿尔法均值滤波器
答案:D
- 适合于处理数字图像脉冲噪声
A. 算术均值滤波器
B. 几何均值滤波器
C. 谐波均值滤波器
D. 逆谐波均值滤波器
答案:CD
- 适合处理数字图像高斯或均匀等随机噪声
A. 算术均值滤波器
B. 几何均值滤波器
C. 谐波均值滤波器
D. 逆谐波均值滤波器
答案:BC
- 针对数字图像周期性噪声,可以采用的频率域处理方法包括
A. 带阻滤波器
B. 低通滤波器
C. 陷波滤波器
D. 高通滤波器
答案:AC
- 数字图像存在盐噪声、椒噪声、脉冲噪声,依次应采用的滤波器是
A. 最小值 minimum 滤波器
B. 最大值 maximum 滤波器
C. 均值 mean 滤波器
D. 中值 median 滤波器
答案:ABD
- 复原有噪声数字图像无需知道噪声和信号任何信息
错误
- 请给出对有噪声数字图像进行自适应中值滤波的完整步骤
输入:
待处理图像,空白图像
区域最大尺寸Smax
自适应中值滤波:
步骤1,自上而下、从左到右在输入数字图像每个像素上移动滤波器。
步骤2,对待处理像素计算A1 = Zmed - Zmin; A2 = Zmed - Zmax。
步骤3,如果 A1>0并且A2<0,则转到步骤5;否则,增大窗口尺寸。如果窗口尺寸<= Smax,则返回步骤2;否则,输出Zmed,即空白图像相应位置像素值置为Zmed,取出下一个像素,返回步骤1。
步骤5,计算B1 = Zxy - Zmin; B2 = Zxy - Zmax。
步骤6,如果B1>0并且B2<0,则输出Zxy,即空白图像相应位置像素值置为Zxy;否则,输出Zmed,即空白图像相应位置像素值置为Zmed。取出下一个像素,返回步骤2。
Sxy是区域
Smax是指最大容忍区域
Zmed是Sxy的中值
Zmax是Sxy的最大值
Zmin是Sxy的最小值
Chapter 8 Restore 1 Denoise 3 Frequency
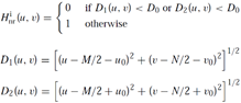
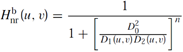
- 理想、巴特沃斯、高斯三种带阻滤波器的公式分别是
A.
B.
C.
D.
答案:ABD
- 带通滤波器包括的类型有
A. 理想型
B. 巴特沃斯型
C. 高斯型
D. 梯形型
答案:ABC
- 带阻滤波器包括的类型有
A. 理想型
B. 巴特沃斯型
C. 高斯型
D. 梯形型
答案:ABC
- 陷阻滤波器包括的类型有
A.
B.
C.
D.
答案:ABC
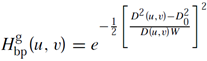
- 理想、巴特沃斯、高斯三种带通滤波器的公式分别是
A.
B.
C.
D.
答案:ABD
- 采用变换域(频率域)方法对数字图像进行周期性噪点复原,可以采用的方法包括
A. 低通滤波器
B. 高通滤波器
C. 带阻滤波器
D. 陷阻滤波器
答案:CD
- 带阻滤波器是
抑制一个特定范围的频率。 - 带阻滤波器具有
2个截断半径。 - 带通滤波器是
通过一个特定范围的频率。 - 带通滤波器具有
2个截断半径。
Chapter 8 Restore 2 Deblur 1 filter 2 singalnoise
- 对数字图像进行有约束最小二乘滤波时需要已知噪声的
A. 最小值
B. 最大值
C. 均值
D. 方差
答案:CD
- 在数字图像模糊复原方法中,维纳滤波、约束最小二乘法滤波、逆滤波依次对应
A. 最小化理想数字图像与复原数字图像之间的平均方差
B. 引入拉普拉斯算子
C. 最大值
D. 放大噪声
答案:ABD
- 约束还原法也称之为
维纳滤波 - 评估数字图像复原效果没有客观标准
错误
- 数字图像复原与数字图像增强都是主观过程
错误
- 数字图像退化原因决定数字图像复原方法
正确
- 数字图像增强效果常采用信噪比来评估
错误
- 对数字图像进行维纳滤波时需要已知信号和噪声的功率谱
正确
- 数字图像复原与数字图像增强的相似与相异之处有哪些
数字图像复原和数字图像增强都是为了改善图像视觉效果和质量,都可以采用空间域和变换域的方法。
数字图像复原是为了复原原始图像、希望获得最优估值,而数字图像增强则是为了突出某些信息。
数字图像复原是一个客观过程,根据退化原因建立退化模型,通过逆处理来实现;而数字图像增强则是一个主观过程,不需要知道图像降质原因。
- 数字图像模糊退化原因包括
A. 摄像机未聚焦
B. 物体与摄像设备之间的相对移动
C. 随机大气湍流
D. 成像光源或射线的散射
答案:ABCD
- 数字图像退化中的模糊包括
A. 线性运动模糊
B. 均匀散焦模糊
C. 大气湍流模糊
D. 选择模糊
答案:ABCD
- 数字图像退化形式只有噪音和模糊
错误
Chapter 8 Restore 1 Denoise 1 Spatial Mean filter 2
- 对于高斯和均匀随机分布这类噪声有最好的效果
A. 中值滤波器
B. 最大值滤波器
C. 最小值滤波器
D. 修正阿尔法均值滤波器
答案:D
- 适合于处理数字图像脉冲噪声
A. 算术均值滤波器
B. 几何均值滤波器
C. 谐波均值滤波器
D. 逆谐波均值滤波器
答案:CD
- 适合处理数字图像高斯或均匀等随机噪声
A. 算术均值滤波器
B. 几何均值滤波器
C. 谐波均值滤波器
D. 逆谐波均值滤波器
答案:BC
- 针对数字图像周期性噪声,可以采用的频率域处理方法包括
A. 带阻滤波器
B. 低通滤波器
C. 陷波滤波器
D. 高通滤波器
答案:AC
- 数字图像存在盐噪声、椒噪声、脉冲噪声,依次应采用的滤波器是
A. 最小值 minimum 滤波器
B. 最大值 maximum 滤波器
C. 均值 mean 滤波器
D. 中值 median 滤波器
答案:ABD
- 复原有噪声数字图像无需知道噪声和信号任何信息
错误
- 请给出对有噪声数字图像进行自适应中值滤波的完整步骤
输入:
待处理图像,空白图像
区域最大尺寸Smax
自适应中值滤波:
步骤1,自上而下、从左到右在输入数字图像每个像素上移动滤波器。
步骤2,对待处理像素计算A1 = Zmed - Zmin; A2 = Zmed - Zmax。
步骤3,如果 A1>0并且A2<0,则转到步骤5;否则,增大窗口尺寸。如果窗口尺寸<= Smax,则返回步骤2;否则,输出Zmed,即空白图像相应位置像素值置为Zmed,取出下一个像素,返回步骤1。
步骤5,计算B1 = Zxy - Zmin; B2 = Zxy - Zmax。
步骤6,如果B1>0并且B2<0,则输出Zxy,即空白图像相应位置像素值置为Zxy;否则,输出Zmed,即空白图像相应位置像素值置为Zmed。取出下一个像素,返回步骤2。
Sxy是区域
Smax是指最大容忍区域
Zmed是Sxy的中值
Zmax是Sxy的最大值
Zmin是Sxy的最小值
Chapter 8 Restore 1 Denoise 3 Frequency
- 理想、巴特沃斯、高斯三种带阻滤波器的公式分别是
A.
B.
C.
D.
答案:ABD
- 带通滤波器包括的类型有
A. 理想型
B. 巴特沃斯型
C. 高斯型
D. 梯形型
答案:ABC
- 带阻滤波器包括的类型有
A. 理想型
B. 巴特沃斯型
C. 高斯型
D. 梯形型
答案:ABC
- 陷阻滤波器包括的类型有
A.
B.
C.
D.
答案:ABC
- 理想、巴特沃斯、高斯三种带通滤波器的公式分别是
A.
B.
C.
D.
答案:ABD
- 采用变换域(频率域)方法对数字图像进行周期性噪点复原,可以采用的方法包括
A. 低通滤波器
B. 高通滤波器
C. 带阻滤波器
D. 陷阻滤波器
答案:CD
- 带阻滤波器是
抑制一个特定范围的频率。 - 带阻滤波器具有
2个截断半径。 - 带通滤波器是
通过一个特定范围的频率。 - 带通滤波器具有
2个截断半径。
Chapter 8 Restore 2 Deblur 1 filter 2 singalnoise
- 对数字图像进行有约束最小二乘滤波时需要已知噪声的
A. 最小值
B. 最大值
C. 均值
D. 方差
答案:CD
- 在数字图像模糊复原方法中,维纳滤波、约束最小二乘法滤波、逆滤波依次对应
A. 最小化理想数字图像与复原数字图像之间的平均方差
B. 引入拉普拉斯算子
C. 最大值
D. 放大噪声
答案:ABD
- 约束还原法也称之为
维纳滤波 - 评估数字图像复原效果没有客观标准
错误
- 数字图像复原与数字图像增强都是主观过程
错误
- 数字图像退化原因决定数字图像复原方法
正确
- 数字图像增强效果常采用信噪比来评估
错误
- 对数字图像进行维纳滤波时需要已知信号和噪声的功率谱
正确
- 数字图像复原与数字图像增强的相似与相异之处有哪些
数字图像复原和数字图像增强都是为了改善图像视觉效果和质量,都可以采用空间域和变换域的方法。
数字图像复原是为了复原原始图像、希望获得最优估值,而数字图像增强则是为了突出某些信息。
数字图像复原是一个客观过程,根据退化原因建立退化模型,通过逆处理来实现;而数字图像增强则是一个主观过程,不需要知道图像降质原因。
对数字图像复原的评估是客观的,而对数字图像增强的评估则是主观的。
AtomGit 是由开放原子开源基金会联合 CSDN 等生态伙伴共同推出的新一代开源与人工智能协作平台。平台坚持“开放、中立、公益”的理念,把代码托管、模型共享、数据集托管、智能体开发体验和算力服务整合在一起,为开发者提供从开发、训练到部署的一站式体验。
更多推荐

























































所有评论(0)